• Check out the relaunch of our general collection, with classic designs and new ones by our very own Pissog!

Format Discussion Metronome Battle

Got reqs:
Metronome Battles Opportunist Suspect Screenshot.png


With this team:
https://pokepast.es/dc394c18a60f1160

:SV/Wishiwashi-School:
Wishiwashi-School @ Choice Band
Ability: Sword of Ruin
Tera Type: Ghost
EVs: 252 HP / 252 Atk / 252 Def / 252 SpA / 252 SpD
Brave Nature
IVs: 0 Spe
- Metronome

:SV/Baxcalibur:
Baxcalibur @ Choice Band
Ability: Power Spot
Tera Type: Ghost
EVs: 252 HP / 252 Atk / 252 Def / 252 SpA / 252 SpD / 252 Spe
Brave Nature
- Metronome

Baxcalibur For Top 10 In Metronome Usage! It has a very solid 145 base Attack, a solid 75 base Special Attack so it can actually deal noticeable damage with special attacks (unlike similar mons like Glastrier, Iron Hands, and even Heracross-Mega), pretty good bulk, and no 4x weaknesses (unlike similar mons like Landorus-T, Tyranitar, Dragonite, Salamence, and Garchomp) so it can team up well with dedicated Tera users.

In the meantime, Wishiwashi-School needs the bulk-increase-in-practice that a Ghost Tera provides. Yes, it's the dedicated Tera user of the team. Tera it on Turn 1 and never look back!

You haven't lived until you see just how much damage a Choice Banded, ability-boosted, Power Spot-boosted-further Wishiwashi-School can output. It can even OHKO frail mons with a single attack!

I've tended to bounce to the 1400s, below that, and back fairly consistently with this team with my main.

Shoutout to the double Pickup Mirror Herb Ting-Lu team I crashed into with my main that persuaded me to revert back to the Opportunist-legal meta team above instead of the Choice Band Intrepid Sword Wishiwashi-School + Weakness Policy Power Spot Baxcalibur team I was thinking of using in an Opportunist-banned meta.

...Yeah, I'd rather vote to ban Opportunist. It's squelched out at least 5 abilities (Intrepid Sword, Download, Defiant, Competitive, Dauntless Shield) and forced at least 1 item (Weakness Policy) onto pretty much Unaware mons only. With that being said, double Pickup Mirror Herb might end up simulating Opportunist well enough.
 
Por those who managed to get their 67% GXE done. What team did you use? I tried some but I always start badly with like 3 losses witch greatly compromises the GXE I have after the 25 games (I am more at 55% GXE at that point) I am seriously considering damp+poison pokemon at this point. I lose to much games to poison and explosion/memento/misty explosion...

I simply used this https://pokepast.es/0d9e8f9c93cc9ecb

Enjoy! Sorry it's a type of "stall Pokémon" :psysad:
1673367482299.png
 
Now the opportunist fiasco is over, I think its only appropriate to return to the king: MEGA CAMERUPT BABY!!!
SLAP A CHOICE SPECS AND ANALYTIC ON AND YOU GOT YOURSELF A BIG BULK KILLING MACHINE!! POWER SPOT, FRIEND GUARD, STORM DRAIN, ALL VIABLE TO HELP THE BIG GUY GET HIS KILLING ON!! YOU ARE NOT IMMUNE TO MEGA CAMERUPT PROPAGANDA!!

:ss/camerupt-mega:
Camerupt-Mega @ Choice Specs
Ability: Analytic
EVs: 252 HP / 252 Atk / 252 Def / 252 SpA / 252 SpD
Relaxed Nature
IVs: 0 Spe
- Metronome
 
Now the opportunist fiasco is over, I think its only appropriate to return to the king: MEGA CAMERUPT BABY!!!
SLAP A CHOICE SPECS AND ANALYTIC ON AND YOU GOT YOURSELF A BIG BULK KILLING MACHINE!! POWER SPOT, FRIEND GUARD, STORM DRAIN, ALL VIABLE TO HELP THE BIG GUY GET HIS KILLING ON!! YOU ARE NOT IMMUNE TO MEGA CAMERUPT PROPAGANDA!!

:ss/camerupt-mega:
Camerupt-Mega @ Choice Specs
Ability: Analytic
EVs: 252 HP / 252 Atk / 252 Def / 252 SpA / 252 SpD
Relaxed Nature
IVs: 0 Spe
- Metronome
He is fun with competitive too, alongside defiant mega-heracross or glastrier
 
I've been using
Ursaluna (F) @ Choice Band
Ability: Normalize
Shiny: Yes
Tera Type: Normal
EVs: 252 HP / 252 Atk / 252 Def / 252 SpA / 252 SpD / 252 Spe
Adamant Nature
- Metronome

Sableye-Mega @ King's Rock
Ability: Sword of Ruin
Tera Type: Dark
EVs: 252 HP / 252 Atk / 252 Def / 252 SpA / 252 SpD / 252 Spe
Sassy Nature
- Metronome
which shreds everything that's not ghost type, but it's hard in a meta chock full of ghosts.
I've been using a nice set of
but not for me (Enamorus-Therian) @ Weakness Policy
Ability: Simple
Shiny: Yes
Tera Type: Ghost
EVs: 252 HP / 252 Atk / 252 Def / 252 SpA / 252 SpD / 252 Spe
Sassy Nature
- Metronome

Call an ambulance, (Banette-Mega) (M) @ Choice Band
Ability: Defiant
Shiny: Yes
Tera Type: Ghost
EVs: 252 HP / 252 Atk / 252 Def / 252 SpA / 252 SpD / 252 Spe
Brave Nature
- Metronome
which usually lets me brute force the ting-lus and other ghost sets, but I was afraid to use it with the opportunist meta
Now though, its good
 
I've been using
Ursaluna (F) @ Choice Band
Ability: Normalize
Shiny: Yes
Tera Type: Normal
EVs: 252 HP / 252 Atk / 252 Def / 252 SpA / 252 SpD / 252 Spe
Adamant Nature
- Metronome

Sableye-Mega @ King's Rock
Ability: Sword of Ruin
Tera Type: Dark
EVs: 252 HP / 252 Atk / 252 Def / 252 SpA / 252 SpD / 252 Spe
Sassy Nature
- Metronome
which shreds everything that's not ghost type, but it's hard in a meta chock full of ghosts.
I've been using a nice set of
but not for me (Enamorus-Therian) @ Weakness Policy
Ability: Simple
Shiny: Yes
Tera Type: Ghost
EVs: 252 HP / 252 Atk / 252 Def / 252 SpA / 252 SpD / 252 Spe
Sassy Nature
- Metronome

Call an ambulance, (Banette-Mega) (M) @ Choice Band
Ability: Defiant
Shiny: Yes
Tera Type: Ghost
EVs: 252 HP / 252 Atk / 252 Def / 252 SpA / 252 SpD / 252 Spe
Brave Nature
- Metronome
which usually lets me brute force the ting-lus and other ghost sets, but I was afraid to use it with the opportunist meta
Now though, its good
…King’s Rock Mega Sableye? Isn’t it a bit slow for that? You’re even running a minus speed nature.
Now the opportunist fiasco is over, I think its only appropriate to return to the king: MEGA CAMERUPT BABY!!!
SLAP A CHOICE SPECS AND ANALYTIC ON AND YOU GOT YOURSELF A BIG BULK KILLING MACHINE!! POWER SPOT, FRIEND GUARD, STORM DRAIN, ALL VIABLE TO HELP THE BIG GUY GET HIS KILLING ON!! YOU ARE NOT IMMUNE TO MEGA CAMERUPT PROPAGANDA!!

:ss/camerupt-mega:
Camerupt-Mega @ Choice Specs
Ability: Analytic
EVs: 252 HP / 252 Atk / 252 Def / 252 SpA / 252 SpD
Relaxed Nature
IVs: 0 Spe
- Metronome
Don’t forget Desolate Land! I’ve been having some mixed success with Flower Gift which is strengthethis gen thanks to Cherrim being able to Terastallize so it’s not weak to Fire. I always wanted to use this because I love Cherrim-Sunshine but couldn’t stand using a grass type in sun. I’m not super sure about the spreads or items just yet, but this is what I have so far.

Cherrim @ Choice Band
Ability: Flower Gift
Tera Type: Fire
EVs: 248 HP / 252 Atk / 252 Def / 252 SpA / 252 SpD / 252 Spe
Relaxed Nature
- Metronome

Camerupt-Mega @ Choice Band
Ability: Desolate Land
Tera Type: Fire
EVs: 248 HP / 252 Atk / 252 Def / 252 SpA / 252 SpD
Relaxed Nature
IVs: 0 Spe
- Metronome

As you may have noticed, I am back on my 248 HP bullshit. These two both have base 70 HP, which means they end up with a max HP that is divisible by 8 with maximum investment, and taking damage that is 1/8, 1/4, or 1/2 the max HP is common enough that I think getting it to round down is worth it more often than not.

Speaking of HP, seeing people using Diancie has got me thinking about bulk and stat distribution. I looked at Pokestar Giant, which has 100/100/100 defenses, and compared it to Regidrago, which has 200/50/50 defenses. Both invest 300 total points of their BST into those stats, and by pitting them against the same opponent, we can see that they have nearly identical bulk.

252 Atk Mew Giga Impact vs. 252 HP / 252 Def Pokestar Giant: 108-128 (26.7 - 31.6%) -- guaranteed 4HKO
Vs.
252 Atk Mew Giga Impact vs. 252 HP / 252 Def Regidrago: 162-191 (26.8 - 31.6%) -- guaranteed 4HKO

Now, this isn’t because Regidrago has twice as much HP but half as much defense. Actually, Regidrago has 604 HP and 199 Defense vs. Giant’s 404 HP and 299 defense, so it really has a little less than 3/2 as much HP and a little more than 2/3 as much defense. This is because at level 100 with max IVs and EVs, HP is essentially calculated as (2 x base HP) + 204, while other stats (not counting nature) are calculated as (2 x base stat) + 99. I’ll skip over the math here, but basically by estimating bulk as HP x (Def + SpD), I was able to use calculus to figure out the theoretically ideal distribution of BST among defensive stats to be base HP = base Def + base SpD - 1.5 (-1.5 means you can round up or down and still be close enough)

So, to refer back to the previous example of Pokémon with 300 points of BST invested into bulk, the best possible distribution would be 148/76/76. As it happens, Krillowatt has almost exactly this spread, sporting 151/73/74 defenses, and it is the closest of any Metronome-legal Pokémon with 500+ BST to that ideal ratio. Some other notably close Pokémon I’ve spotted are:
  • Snorlax (160/175)
  • Iron Hands (154/176)
  • Dondozo (150/180)
  • Colossoil (133/144)
  • Basculegion (120/140)
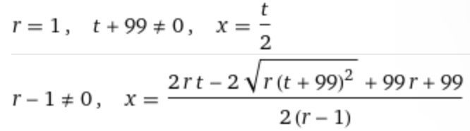
Now, all this is not necessarily assuming that Defense is equally valuable to Special Defense (it probably isn’t). It was assuming that different defensive spreads were equivalent to each other if they added up to the same total, i.e Regirock’s 499/299 vs Diancie’s 399/399. However, I realized that pairs of defenses needed to be compared as sums of inverses, so Regirock’s would be represented by 1/499 + 1/299 ≈ 0.0053, and Diancie’s would be 1/399 + 1/399 ≈ 0.0050. In this form, lower numbers are better as they represent less total damage taken. At this point, though, I am treating Def and SpD as equally valuable, as represented by using 1’s for both fractions. If I thought Def was twice as valuable as SpD, I would value Regirock’s bulk like so: 2/499 + 1/299 ≈ 0.0074, to be compared to Diancie’s 2/399 + 1/399 ≈ 0.0075. With this understanding, I ran the numbers even harder to come up with a formula that could determine optimal distribution between all 3 stats for a given BST for any ratio of physical/special value. The end result, after much double and triple checking, was that if your Def and SpD are allocated properly your HP should be… your Def plus your SpD minus 1.5.

Here, “r” is the ratio of value of Defense to Special Defense, “t” is the total BST allocated to Defense and Special Defense (excluding HP), and “x” is base Defense (base Special Defense would be t - x).
866D4BE2-9F03-4F08-BF5E-52AB171EE1CB.jpeg

Yup, it’s the same exact formula, regardless of how much you’re hoping to lean into Def or SpD. The new part is that the further your actual physical/special balance is from your ideal balance, the less valuable your Def and SpD become, and thus the more valuable HP becomes. However, this doesn’t apply to Pokemon whose defenses are equal, so Regidrago doesn’t take hits from biased attackers better than Giant does.

With all that said, is Diancie the best choice for a bulky mixed attacker? Its BST distribution certainly leaves something to be desired. A spread of 174/88/88 would be ideal and significantly better; as is, Diancie is only very slightly bulkier than Giant (< 0.5%) and Regidrago (~1.1%) which have identical offenses but higher speed. Its type is decent, sporting a coveted Normal resist without being weak to Ghost or exploitable by Scrappy, but its massive weakness to Steel holds it back. It’s outclassed stat-wise as a slow mixed tank by Guzzlord, but Guzzlord has its own share of typing problems and niche advantages. Ultimately, I think Diancie is probably outdone in some roles by Pokestars like Giant, White Door, and UFO2, and other roles by Guzzlord, Ting Lu, and Iron Hands, but it has enough of a niche as a strong Rock type in a meta with Scrappy Ursaluna to still be acceptably viable.
 
…King’s Rock Mega Sableye? Isn’t it a bit slow for that? You’re even running a minus speed nature.

Don’t forget Desolate Land! I’ve been having some mixed success with Flower Gift which is strengthethis gen thanks to Cherrim being able to Terastallize so it’s not weak to Fire. I always wanted to use this because I love Cherrim-Sunshine but couldn’t stand using a grass type in sun. I’m not super sure about the spreads or items just yet, but this is what I have so far.

Cherrim @ Choice Band
Ability: Flower Gift
Tera Type: Fire
EVs: 248 HP / 252 Atk / 252 Def / 252 SpA / 252 SpD / 252 Spe
Relaxed Nature
- Metronome

Camerupt-Mega @ Choice Band
Ability: Desolate Land
Tera Type: Fire
EVs: 248 HP / 252 Atk / 252 Def / 252 SpA / 252 SpD
Relaxed Nature
IVs: 0 Spe
- Metronome

As you may have noticed, I am back on my 248 HP bullshit. These two both have base 70 HP, which means they end up with a max HP that is divisible by 8 with maximum investment, and taking damage that is 1/8, 1/4, or 1/2 the max HP is common enough that I think getting it to round down is worth it more often than not.

Speaking of HP, seeing people using Diancie has got me thinking about bulk and stat distribution. I looked at Pokestar Giant, which has 100/100/100 defenses, and compared it to Regidrago, which has 200/50/50 defenses. Both invest 300 total points of their BST into those stats, and by pitting them against the same opponent, we can see that they have nearly identical bulk.

252 Atk Mew Giga Impact vs. 252 HP / 252 Def Pokestar Giant: 108-128 (26.7 - 31.6%) -- guaranteed 4HKO
Vs.
252 Atk Mew Giga Impact vs. 252 HP / 252 Def Regidrago: 162-191 (26.8 - 31.6%) -- guaranteed 4HKO

Now, this isn’t because Regidrago has twice as much HP but half as much defense. Actually, Regidrago has 604 HP and 199 Defense vs. Giant’s 404 HP and 299 defense, so it really has a little less than 3/2 as much HP and a little more than 2/3 as much defense. This is because at level 100 with max IVs and EVs, HP is essentially calculated as (2 x base HP) + 204, while other stats (not counting nature) are calculated as (2 x base stat) + 99. I’ll skip over the math here, but basically by estimating bulk as HP x (Def + SpD), I was able to use calculus to figure out the theoretically ideal distribution of BST among defensive stats to be base HP = base Def + base SpD - 1.5 (-1.5 means you can round up or down and still be close enough)

So, to refer back to the previous example of Pokémon with 300 points of BST invested into bulk, the best possible distribution would be 148/76/76. As it happens, Krillowatt has almost exactly this spread, sporting 151/73/74 defenses, and it is the closest of any Metronome-legal Pokémon with 500+ BST to that ideal ratio. Some other notably close Pokémon I’ve spotted are:
  • Snorlax (160/175)
  • Iron Hands (154/176)
  • Dondozo (150/180)
  • Colossoil (133/144)
  • Basculegion (120/140)
Now, all this is not necessarily assuming that Defense is equally valuable to Special Defense (it probably isn’t). It was assuming that different defensive spreads were equivalent to each other if they added up to the same total, i.e Regirock’s 499/299 vs Diancie’s 399/399. However, I realized that pairs of defenses needed to be compared as sums of inverses, so Regirock’s would be represented by 1/499 + 1/299 ≈ 0.0053, and Diancie’s would be 1/399 + 1/399 ≈ 0.0050. In this form, lower numbers are better as they represent less total damage taken. At this point, though, I am treating Def and SpD as equally valuable, as represented by using 1’s for both fractions. If I thought Def was twice as valuable as SpD, I would value Regirock’s bulk like so: 2/499 + 1/299 ≈ 0.0074, to be compared to Diancie’s 2/399 + 1/399 ≈ 0.0075. With this understanding, I ran the numbers even harder to come up with a formula that could determine optimal distribution between all 3 stats for a given BST for any ratio of physical/special value. The end result, after much double and triple checking, was that if your Def and SpD are allocated properly your HP should be… your Def plus your SpD minus 1.5.

Here, “r” is the ratio of value of Defense to Special Defense, “t” is the total BST allocated to Defense and Special Defense (excluding HP), and “x” is base Defense (base Special Defense would be t - x).
View attachment 483561

Yup, it’s the same exact formula, regardless of how much you’re hoping to lean into Def or SpD. The new part is that the further your actual physical/special balance is from your ideal balance, the less valuable your Def and SpD become, and thus the more valuable HP becomes. However, this doesn’t apply to Pokemon whose defenses are equal, so Regidrago doesn’t take hits from biased attackers better than Giant does.

With all that said, is Diancie the best choice for a bulky mixed attacker? Its BST distribution certainly leaves something to be desired. A spread of 174/88/88 would be ideal and significantly better; as is, Diancie is only very slightly bulkier than Giant (< 0.5%) and Regidrago (~1.1%) which have identical offenses but higher speed. Its type is decent, sporting a coveted Normal resist without being weak to Ghost or exploitable by Scrappy, but its massive weakness to Steel holds it back. It’s outclassed stat-wise as a slow mixed tank by Guzzlord, but Guzzlord has its own share of typing problems and niche advantages. Ultimately, I think Diancie is probably outdone in some roles by Pokestars like Giant, White Door, and UFO2, and other roles by Guzzlord, Ting Lu, and Iron Hands, but it has enough of a niche as a strong Rock type in a meta with Scrappy Ursaluna to still be acceptably viable.
Thank you for the imposing mathematical analysis. One thing to note is that with exceptionally high HP comes severe generosity to many foes with respect to leech seed, pain split, and draining moves. (As an avid Guzzlord enjoyer, I can attest to this.) Of course, most of this can be nullified with Good as Gold.
 
1673651303716.png

I reached the suspect requirements. Despite the 25 games count, this journey took a long time mostly due to stubbornly trying to salvage my first account where I got most of my experience on with teams of varying quality before coming up with the final answer.
Here are some notes on the various teams I used at first.
Quest (Dragapult) @ Razor Claw
Ability: Super Luck
Tera Type: Dark
EVs: 252 HP / 252 Atk / 252 Def / 252 SpA / 252 SpD / 252 Spe
Quiet Nature
- Metronome

Bravo (Dragonite) @ Razor Claw
Ability: Super Luck
Tera Type: Ghost
EVs: 252 HP / 252 Atk / 252 Def / 252 SpA / 252 SpD / 252 Spe
Brave Nature
- Metronome

At first I started with the double full crit Dragapult set to try to break through without stat boosts, and later I decided to add tera Ghost Dragonite as a partner instead. In general I was actually kind of disappointed to lose some nice resistances from Dragon by going ghost. Dark Dragapult is a product of figuring that I'm fine being Dragon/Ghost for the most part and living Shadow Force may be worth it, though tera Ghost may still be nice in case you get your type changed and have to manually flip back. Overall I think starting with this team probably sank my rating too much early on to recover from, but I got a lot of experience from it.

Light (Ting-Lu) @ Mirror Herb
Ability: Pickup
Tera Type: Ghost
EVs: 252 HP / 252 Atk / 252 Def / 252 SpA / 252 SpD / 252 Spe
Sassy Nature
- Metronome

Dark (Ting-Lu) @ Mirror Herb
Ability: Pickup
Tera Type: Ghost
EVs: 252 HP / 252 Atk / 252 Def / 252 SpA / 252 SpD / 252 Spe
Relaxed Nature
- Metronome

I came up with this aforementioned Pickup Mirror Herb team to mimic Opportunist, though Opportunist was still legal at the time anyway so it may not have been as effective in that meta. It has notable cons compared to Opportunist including only getting one proc per turn, losing its effectiveness when one mon goes down, and possibly randomly losing the Mirror Herb if another item is used. Overall I wasn't really a big fan especially when not benefitting from boosts on either side.

Underworld (Silvally-Ghost) @ Mirror Herb
Ability: Magician
Tera Type: Ghost
EVs: 252 HP / 252 Atk / 252 Def / 252 SpA / 252 SpD / 252 Spe
Sassy Nature
- Metronome

Skyscrape (Latias) @ Mirror Herb
Ability: Magician
Tera Type: Ghost
EVs: 252 HP / 252 Atk / 252 Def / 252 SpA / 252 SpD / 252 Spe
Relaxed Nature
- Metronome

A Magician team I've used in the past but haven't posted about, with a modern twist of trying to use up Mirror Herb early. Overall it's not as reliable compared to regular itemless Magician and the enemy has a good chance of using their item first with all the Mirror Herbs going around. Again I also felt like Latias appreciated the resistances from Dragon more than becoming a pure Ghost.

Jörmungandr (Dragonite) @ Choice Band
Ability: Aerilate
Tera Type: Flying
EVs: 252 HP / 252 Atk / 252 Def / 252 SpA / 252 SpD / 252 Spe
Brave Nature
- Metronome

Resire (Enamorus-Therian) @ Clear Amulet
Ability: Delta Stream
Tera Type: Flying
EVs: 252 HP / 252 Atk / 252 Def / 252 SpA / 252 SpD / 252 Spe
Quiet Nature
- Metronome

Another team with Dragonite, trying Aerilate stacking with some variants of Enamorus-T support including just putting Pixilate at one point instead. Once again despite Delta Stream removing weaknesses, I missed having Dragon's resistances, and the team didn't feel that explosive compared to the Iron Hands set so I didn't really spend as much time on it.

Creation (Cresselia) @ Covert Cloak
Ability: Good as Gold
Tera Type: Ghost
EVs: 252 HP / 252 Atk / 252 Def / 252 SpA / 252 SpD / 252 Spe
Sassy Nature
- Metronome

Negation (Sableye-Mega) @ Covert Cloak
Ability: Magic Bounce
Tera Type: Dark
EVs: 252 HP / 252 Atk / 252 Def / 252 SpA / 252 SpD / 252 Spe
Relaxed Nature
- Metronome

This is a stall team. I mentioned the Covert Cloak + Magic Bounce combo early on as being immune to most forms of debuffs, and Good as Gold adds onto that by being immune to more things including bounced moves, so I ended up trying both out at the same time. Despite the defensive nerfs, I brought Cresselia to try out with Ghost tera.
Pros:
  • Mostly can't be debuffed through status moves or secondary effects
  • The team is bulky and immune to many things
  • Good as Gold blocks some things that Magic Bounce doesn't like Perish Song (not by the user), Skill Swap, and Pain Split
Cons:
  • Not immune to ability debuffs like Mirror Armor
  • Not that great at dealing raw damage and appreciates passive damage or boosts which are not guaranteed
  • Unlikely to run into turn loss from paralysis/sleep/etc, which may end up losing to Struggle if the fight stalls too long and you don't have enough raw damage
  • Good as Gold also blocks some good things that Magic Bounce doesn't like ally Howl, Lunar Blessing, and Memento
Aerosmith (Shaymin-Sky) @ Weakness Policy
Ability: Aerilate / Simple
Tera Type: Grass
EVs: 252 HP / 252 Atk / 252 Def / 252 SpA / 252 SpD / 252 Spe
Brave Nature
- Metronome

vacation (Shaymin) @ Weakness Policy
Ability: Flower Veil
Tera Type: Grass
EVs: 252 HP / 252 Atk / 252 Def / 252 SpA / 252 SpD / 252 Spe
Relaxed Nature
- Metronome

At this point I felt like the lack of damage was a notable problem with the stall team despite being unstoppable, so I went back to basics and decided to go with Flower Veil now that the Opportunist ban had been implemented. Shaymin has most of the tenets of bulky statboost with somewhat reliable setup, killing power and the speed to make use of it, debuff immunity, and flavour in one package with an alright matchup against everything that doesn't outright kill first.

As for how it's changed in Gen 9, Shaymin-Sky being able to go pure Grass is an arguable sidegrade but getting rid of the 4x Ice weakness is pretty solid and Tera blocking type changes is a nice bonus as well as getting big STAB hits at times with new tricks like Flower Trick, Tera Blast, and Chloroblast. Unfortunately Shaymin-Sky isn't that bulky, so that's a problem when trying to pull off a bulky statboost strategy.

I also tried Simple on Shaymin-Sky for a while as well to take more advantage of common boosts than just Normal moves with Aerilate, though I quickly found out that relying on huge setup is still vulnerable to Mirror Herb. In one instance my Simple boosted +2 Quiver Dance was mirrored by a Simple user to become a +4 Quiver Dance and a random Simple Iron Hands got +6 Evasion in one turn from my using Minimize, not to mention all the free Weakness Policy boosts. So that's something to worry about now.

1673650055096.png

(https://replay.pokemonshowdown.com/gen9metronomebattle-1771830792)

This team broke me out of the 1300s and 62% GXE ceilings initially. Unfortunately, this high would not last and led me into a backslide to 60%, and I ended up admitting defeat and planned to start fresh with a new account. In the long run, I would need to earn about 40-50 more wins than losses to get to 67% with the slow pace of gaining 1 Glicko per game with minimum variance.
1673650933069.png

At this point, despite ending on a downward spiral of losses, I wanted to continue playing Flower Veil as I had seen its potential, and now I could come up with an answer to some common issues I had run into. I decided on making use of Grass terastallization on a non-grass mon to expand my options. I'd seen double Ting-Lu being used for this purpose on the ladder, but I wanted some more balanced stats to work with.

Tirnanog (Tyranitar) @ Weakness Policy
Ability: Dauntless Shield / Intrepid Sword
Tera Type: Grass
EVs: 252 HP / 252 Atk / 252 Def / 252 SpA / 252 SpD / 252 Spe
Brave Nature
- Metronome

Foresight (Venusaur-Mega) @ Weakness Policy
Ability: Flower Veil
Tera Type: Grass
EVs: 252 HP / 252 Atk / 252 Def / 252 SpA / 252 SpD / 252 Spe
Relaxed Nature
- Metronome

In the end, Tyranitar was chosen as the terastallizer because of its high 600 BST with low speed and greenness, and Mega Venusaur has the highest BST in the meta with natural Flower Veil compatibility on top of that. Tyranitar's high Attack is also nice, with its other stats not falling far behind and double base STAB is nice for Tera purposes.

Initially I chose Intrepid Sword specifically because of my experiences dealing with random Mirror Herbs on the ladder copying all my Weakness Policy boosts at once. I decided to use its simple stat boost as a countermeasure to bait them out immediately and boost my own high Attack at the same time. However, after this game with double Ting-Lu getting +1 Attack, I decided to go for Dauntless Shield's defense boost instead so that I would have a longer time to live and boost up instead of making it faster for Mirror Herbers to kill me, and I used this variant to the end.

Overall I was pretty satisfied with how efficiently this worked out. For the most part I won some tough games that could have gone either way, lost a few to dying too quickly or other bad luck, and it ended up evening out in the final battle with Rollout's full 5 hits tearing through my team but still surviving long enough to pull off an Imprison call. The account is named after the anemone canadensis.

I'm also on the side of a permanent Opportunist ban to appreciate some more variety. Speaking of Opportunist, I underestimated Mirror Herb's relevance which often cost me and it ended up defining my final team to play around it as a result. I think it has a nice balance to it as an item counterplay to boosters and is worth noting as a random surprise tool that is likely to show up while climbing ladder.

Sidenote about other mechanics that probably aren't implemented yet: apparently the Pickup self buff only worked in wild battles, Protean/Libero is not supposed to always make you Normal type (you just get the type of the move you end up calling), and each Ruin ability makes you immune to its own effect which also applies to allies, so doubling up on Sword of Ruin and such can have a purpose even if it doesn't stack.
 
View attachment 483725
I reached the suspect requirements. Despite the 25 games count, this journey took a long time mostly due to stubbornly trying to salvage my first account where I got most of my experience on with teams of varying quality before coming up with the final answer.
Here are some notes on the various teams I used at first.
Quest (Dragapult) @ Razor Claw
Ability: Super Luck
Tera Type: Dark
EVs: 252 HP / 252 Atk / 252 Def / 252 SpA / 252 SpD / 252 Spe
Quiet Nature
- Metronome

Bravo (Dragonite) @ Razor Claw
Ability: Super Luck
Tera Type: Ghost
EVs: 252 HP / 252 Atk / 252 Def / 252 SpA / 252 SpD / 252 Spe
Brave Nature
- Metronome

At first I started with the double full crit Dragapult set to try to break through without stat boosts, and later I decided to add tera Ghost Dragonite as a partner instead. In general I was actually kind of disappointed to lose some nice resistances from Dragon by going ghost. Dark Dragapult is a product of figuring that I'm fine being Dragon/Ghost for the most part and living Shadow Force may be worth it, though tera Ghost may still be nice in case you get your type changed and have to manually flip back. Overall I think starting with this team probably sank my rating too much early on to recover from, but I got a lot of experience from it.

Light (Ting-Lu) @ Mirror Herb
Ability: Pickup
Tera Type: Ghost
EVs: 252 HP / 252 Atk / 252 Def / 252 SpA / 252 SpD / 252 Spe
Sassy Nature
- Metronome

Dark (Ting-Lu) @ Mirror Herb
Ability: Pickup
Tera Type: Ghost
EVs: 252 HP / 252 Atk / 252 Def / 252 SpA / 252 SpD / 252 Spe
Relaxed Nature
- Metronome

I came up with this aforementioned Pickup Mirror Herb team to mimic Opportunist, though Opportunist was still legal at the time anyway so it may not have been as effective in that meta. It has notable cons compared to Opportunist including only getting one proc per turn, losing its effectiveness when one mon goes down, and possibly randomly losing the Mirror Herb if another item is used. Overall I wasn't really a big fan especially when not benefitting from boosts on either side.

Underworld (Silvally-Ghost) @ Mirror Herb
Ability: Magician
Tera Type: Ghost
EVs: 252 HP / 252 Atk / 252 Def / 252 SpA / 252 SpD / 252 Spe
Sassy Nature
- Metronome

Skyscrape (Latias) @ Mirror Herb
Ability: Magician
Tera Type: Ghost
EVs: 252 HP / 252 Atk / 252 Def / 252 SpA / 252 SpD / 252 Spe
Relaxed Nature
- Metronome

A Magician team I've used in the past but haven't posted about, with a modern twist of trying to use up Mirror Herb early. Overall it's not as reliable compared to regular itemless Magician and the enemy has a good chance of using their item first with all the Mirror Herbs going around. Again I also felt like Latias appreciated the resistances from Dragon more than becoming a pure Ghost.

Jörmungandr (Dragonite) @ Choice Band
Ability: Aerilate
Tera Type: Flying
EVs: 252 HP / 252 Atk / 252 Def / 252 SpA / 252 SpD / 252 Spe
Brave Nature
- Metronome

Resire (Enamorus-Therian) @ Clear Amulet
Ability: Delta Stream
Tera Type: Flying
EVs: 252 HP / 252 Atk / 252 Def / 252 SpA / 252 SpD / 252 Spe
Quiet Nature
- Metronome

Another team with Dragonite, trying Aerilate stacking with some variants of Enamorus-T support including just putting Pixilate at one point instead. Once again despite Delta Stream removing weaknesses, I missed having Dragon's resistances, and the team didn't feel that explosive compared to the Iron Hands set so I didn't really spend as much time on it.

Creation (Cresselia) @ Covert Cloak
Ability: Good as Gold
Tera Type: Ghost
EVs: 252 HP / 252 Atk / 252 Def / 252 SpA / 252 SpD / 252 Spe
Sassy Nature
- Metronome

Negation (Sableye-Mega) @ Covert Cloak
Ability: Magic Bounce
Tera Type: Dark
EVs: 252 HP / 252 Atk / 252 Def / 252 SpA / 252 SpD / 252 Spe
Relaxed Nature
- Metronome

This is a stall team. I mentioned the Covert Cloak + Magic Bounce combo early on as being immune to most forms of debuffs, and Good as Gold adds onto that by being immune to more things including bounced moves, so I ended up trying both out at the same time. Despite the defensive nerfs, I brought Cresselia to try out with Ghost tera.
Pros:
  • Mostly can't be debuffed through status moves or secondary effects
  • The team is bulky and immune to many things
  • Good as Gold blocks some things that Magic Bounce doesn't like Perish Song (not by the user), Skill Swap, and Pain Split
Cons:
  • Not immune to ability debuffs like Mirror Armor
  • Not that great at dealing raw damage and appreciates passive damage or boosts which are not guaranteed
  • Unlikely to run into turn loss from paralysis/sleep/etc, which may end up losing to Struggle if the fight stalls too long and you don't have enough raw damage
  • Good as Gold also blocks some good things that Magic Bounce doesn't like ally Howl, Lunar Blessing, and Memento
Aerosmith (Shaymin-Sky) @ Weakness Policy
Ability: Aerilate / Simple
Tera Type: Grass
EVs: 252 HP / 252 Atk / 252 Def / 252 SpA / 252 SpD / 252 Spe
Brave Nature
- Metronome

vacation (Shaymin) @ Weakness Policy
Ability: Flower Veil
Tera Type: Grass
EVs: 252 HP / 252 Atk / 252 Def / 252 SpA / 252 SpD / 252 Spe
Relaxed Nature
- Metronome

At this point I felt like the lack of damage was a notable problem with the stall team despite being unstoppable, so I went back to basics and decided to go with Flower Veil now that the Opportunist ban had been implemented. Shaymin has most of the tenets of bulky statboost with somewhat reliable setup, killing power and the speed to make use of it, debuff immunity, and flavour in one package with an alright matchup against everything that doesn't outright kill first.

As for how it's changed in Gen 9, Shaymin-Sky being able to go pure Grass is an arguable sidegrade but getting rid of the 4x Ice weakness is pretty solid and Tera blocking type changes is a nice bonus as well as getting big STAB hits at times with new tricks like Flower Trick, Tera Blast, and Chloroblast. Unfortunately Shaymin-Sky isn't that bulky, so that's a problem when trying to pull off a bulky statboost strategy.

I also tried Simple on Shaymin-Sky for a while as well to take more advantage of common boosts than just Normal moves with Aerilate, though I quickly found out that relying on huge setup is still vulnerable to Mirror Herb. In one instance my Simple boosted +2 Quiver Dance was mirrored by a Simple user to become a +4 Quiver Dance and a random Simple Iron Hands got +6 Evasion in one turn from my using Minimize, not to mention all the free Weakness Policy boosts. So that's something to worry about now.

View attachment 483713
(https://replay.pokemonshowdown.com/gen9metronomebattle-1771830792)

This team broke me out of the 1300s and 62% GXE ceilings initially. Unfortunately, this high would not last and led me into a backslide to 60%, and I ended up admitting defeat and planned to start fresh with a new account. In the long run, I would need to earn about 40-50 more wins than losses to get to 67% with the slow pace of gaining 1 Glicko per game with minimum variance.
View attachment 483719

At this point, despite ending on a downward spiral of losses, I wanted to continue playing Flower Veil as I had seen its potential, and now I could come up with an answer to some common issues I had run into. I decided on making use of Grass terastallization on a non-grass mon to expand my options. I'd seen double Ting-Lu being used for this purpose on the ladder, but I wanted some more balanced stats to work with.

Tirnanog (Tyranitar) @ Weakness Policy
Ability: Dauntless Shield / Intrepid Sword
Tera Type: Grass
EVs: 252 HP / 252 Atk / 252 Def / 252 SpA / 252 SpD / 252 Spe
Brave Nature
- Metronome

Foresight (Venusaur-Mega) @ Weakness Policy
Ability: Flower Veil
Tera Type: Grass
EVs: 252 HP / 252 Atk / 252 Def / 252 SpA / 252 SpD / 252 Spe
Relaxed Nature
- Metronome

In the end, Tyranitar was chosen as the terastallizer because of its high 600 BST with low speed and greenness, and Mega Venusaur has the highest BST in the meta with natural Flower Veil compatibility on top of that. Tyranitar's high Attack is also nice, with its other stats not falling far behind and double base STAB is nice for Tera purposes.

Initially I chose Intrepid Sword specifically because of my experiences dealing with random Mirror Herbs on the ladder copying all my Weakness Policy boosts at once. I decided to use its simple stat boost as a countermeasure to bait them out immediately and boost my own high Attack at the same time. However, after this game with double Ting-Lu getting +1 Attack, I decided to go for Dauntless Shield's defense boost instead so that I would have a longer time to live and boost up instead of making it faster for Mirror Herbers to kill me, and I used this variant to the end.

Overall I was pretty satisfied with how efficiently this worked out. For the most part I won some tough games that could have gone either way, lost a few to dying too quickly or other bad luck, and it ended up evening out in the final battle with Rollout's full 5 hits tearing through my team but still surviving long enough to pull off an Imprison call. The account is named after the anemone canadensis.

I'm also on the side of a permanent Opportunist ban to appreciate some more variety. Speaking of Opportunist, I underestimated Mirror Herb's relevance which often cost me and it ended up defining my final team to play around it as a result. I think it has a nice balance to it as an item counterplay to boosters and is worth noting as a random surprise tool that is likely to show up while climbing ladder.

Sidenote about other mechanics that probably aren't implemented yet: apparently the Pickup self buff only worked in wild battles, Protean/Libero is not supposed to always make you Normal type (you just get the type of the move you end up calling), and each Ruin ability makes you immune to its own effect which also applies to allies, so doubling up on Sword of Ruin and such can have a purpose even if it doesn't stack.
On the topic of to-be-implemented mechanics, Mirror Herb should actually be substantially stronger than it is. It’s supposed to wait until certain intervals (after almost all switch-in related events, after moves, and probably somewhere in residuals? Needs more research) to actually activate, only then copying all the boosts it’s tallied up. For example, Mirror Herb vs. double Intrepid Sword should copy a total +2 Attack, not just +1. In the silliest case scenario, double Intimidate @ Mirror Herb vs double Defiant should result in each Mirror Herb copying a total +8 (capped at +6) Attack, while the Defiant Pokemon get a measly net +2 each. I’m currently trying to get this right on PS, but it needs more than just research. The event structure to support this kind of behavior isn’t really there, so I pretty much have to fix a bunch of other things at the same time in order for Mirror Herb Intimidate to really scare Defiant back into whatever hole it crawled out of after Opportunist’s de facto ban.

That revelation about Ruin abilities is interesting, but I still wouldn’t double up on the same Ruin ability. I’d rather pair Tablets of Ruin, Fluffy, or Dauntless Shield with Sword of Ruin. Dauntless Shield simply makes up for the Defense loss and then some, and Fluffy makes up for it even more but only vs. contact moves (and don’t forget the Fire weakness). Tablets of Ruin has a sort of unintuitive effect in concert with Sword of Ruin where it effectively swaps the beneficiaries of the abilities; the Sword user gains an effective x4/3 Defense from Tablets, but the effective Attack boost from Sword is cancelled out, and the reverse happens for the Tablets user. The end result is admittedly worse than what Dauntless Shield can do since you get one mon at 4/3 Attack and another at 4/3 defense instead of two mons at 4/3 Attack and one mon at 9/8 Defense, but it has the quirk that when one Ruin user faints, the other’s ability effectively goes back to normal, so if the Tablets user faints first (which they probably will since they aren’t getting the effective Defense boost) the Sword user’s effective stat boost switches from Defense to Attack, so they can potentially pick up the offensive slack if they’ve been amassing boosts in that time. On the special side of things, there’s not much question; Ice Scales is far and away the best option for pairing with Beads of Ruin if you’re looking to compensate for the SpD drop. I’ve been trying a team to that effect using Beads Mega Ampharos and Scales Deoxys-N after my attempt at using Snow Cloak Deoxys-A ended in failure (It actually didn’t do terribly, but Snow Cloak seemed to be a lot less effective than advertised, even when I backed it up with Bright Powder). I’m using Deo-N because I genuinely think that, at least for some applications, it’s better than Deo-A thanks to how the extra bulk goes a longer way than the extra attack; if you pit them against each other, Deo-N actually does a bit more damage with the same moves. I did also try pairing Sword of Ruin and Beads of Ruin on a double Deoxys team. It was bad.
 
Speaking of Deoxys-N, I paired Choice Band Intrepid Sword that with Weakness Policy Power Spot Venusaur-Mega last gen, and the team actually didn't perform too badly. The Deoxys-A version fared worse because Deo-A's lack of bulk actually matters. I just found the Wishiwashi-School version more consistent due to Wishiwashi-School's even higher bulk. ...But Deo-N going first (and OHKOing frail mons) patches up surprisingly many problems!
 
Madre de Dios, it's finally been done.
1673721629929.png

I did nearly 500 games on my first account before finally acquiescing to making alts (s/o doipy hooves for experiencing the same fallacy). I realize now that 67% GXE literally means winning two battles for every loss. So much for a small increase! This is trivial in regular formats but requires optimal team composition and a good deal of RNG in metronome lol.

Got most wins with a stallish team composed of Clear Amulet Unaware M-Sab and Mirror Herb Good as Gold Tera Ghost Tyranitar. However, when feeling up for some more eventful battles, I also had good success with a specs Hadron Engine M-Gengar and band Galvanize Tera Electric Iron Hands. Iron Hands, when rolling a normal move, was often dealing resisted 2HKOs against Grass-types, not to mention being able to hit Ghost-types.

Some highlights:
https://replay.pokemonshowdown.com/gen9metronomebattle-1766915314
https://replay.pokemonshowdown.com/gen9metronomebattle-1767941192
https://replay.pokemonshowdown.com/gen9metronomebattle-1768665548
https://replay.pokemonshowdown.com/gen9metronomebattle-1770518901
 
…King’s Rock Mega Sableye? Isn’t it a bit slow for that? You’re even running a minus speed nature.

Don’t forget Desolate Land! I’ve been having some mixed success with Flower Gift which is strengthethis gen thanks to Cherrim being able to Terastallize so it’s not weak to Fire. I always wanted to use this because I love Cherrim-Sunshine but couldn’t stand using a grass type in sun. I’m not super sure about the spreads or items just yet, but this is what I have so far.

Cherrim @ Choice Band
Ability: Flower Gift
Tera Type: Fire
EVs: 248 HP / 252 Atk / 252 Def / 252 SpA / 252 SpD / 252 Spe
Relaxed Nature
- Metronome

Camerupt-Mega @ Choice Band
Ability: Desolate Land
Tera Type: Fire
EVs: 248 HP / 252 Atk / 252 Def / 252 SpA / 252 SpD
Relaxed Nature
IVs: 0 Spe
- Metronome

As you may have noticed, I am back on my 248 HP bullshit. These two both have base 70 HP, which means they end up with a max HP that is divisible by 8 with maximum investment, and taking damage that is 1/8, 1/4, or 1/2 the max HP is common enough that I think getting it to round down is worth it more often than not.
Thanks again for this—I got to thinking that there are a lot of mons with suboptimal spreads but that simply do have huge amounts of bulk. I've gone and statcalc'd some common and/or interesting creatures and listed them here in stat product of HP and invested Defense; obviously offenses and special defense are items that should be considered as well, so I'm plotting the full BST as a separate variable. The spreadsheet is available to download as well.
MetronomeChart.png


Some interesting cases to point out...
  • Regirock is freaking cracked! It barely edges out over GOAT Ting-Lu in most respects, but Ting-Lu has a somewhat better offensive typing to support being Terastelized. Both are weak to Fighting if not being Tera'd and thus you probably don't want to use two in one team.
  • Avalugg is the winner on technicality, but its special aspects are horrendous and drag down its performance in practice. Regular Avalugg has slightly more spdef and less Speed, which is the correct choice for Metronome, but Hisuian's Rock STAB when Tera'd seems useful. Mega Slowbro doesn't quite breach 200k stat product, but it seems generally better in all aspects.
  • The newly vaunted Krilowatt is a bit better than typical 600BST Mewalikes, but doesn't seem to be too worthwhile.
  • Mega Sableye, as it turns out, is pretty awful in bulk among supposedly bulky mons. Of course, having the second best dual typing in the game ameliorates this greatly. It certainly is a better pick than Spiritomb.
  • Blissey looks super low, but Impostering typically makes that a non-issue (rip PP, though).
  • Enamorus-Therian isn't as bulky as many have assumed, being frailer than Pirouette Meloetta, though it does have nice offenses. Can't say the same about Tapu Fini.
  • Tyranitar, Zygarde, and Brute Bonnet are oft-overlooked upgrades to Mewalike spreads, but they often require Tera-ing. In fact, Zygarde is the best among all 600BST mons!
  • Volcanion is a 600bst mythical that fortunately lacks a crippling 4× weakness. Better than Mewalikes in all aspects besides spdef.
  • Regidrago is a direct downgrade from Guzzlord unless you fear the quad fairy weakness or need slightly higher offenses.
  • Chromera is a slight upgrade over Mewalikes in the defense side, and the higher attack at the cost of spdef is usually a fine trade.
  • Eviolite Chansey is a horrendous pick by all accounts; the quantity of it I still see on the ladder boggles my mind.
  • Ursaring lacks much of P2's bulk even after eviolite but has a huge Attack stat to compensate.
  • Deo-D, Cosmoem, Necrozma, and Uxie lose handily to Cresselia in basically all regards among the fatter Psychics. (Cosmoem actually is bulkier, but it requires Eviolite and has zero offensive presence.)
  • Dusclops and Gorsola are damn similar, but Dusclops' slightly higher bulk and Attack make it a certain winner. There is generally a huge dearth of bulky Ghost-types, so Terastelization has really helped make that typing more accessible.
  • Snorlax manages to attain almost exactly Mew-adjacent physical bulk, not to mention its ridiculous Spdef. Dondozo is likely a more respectable choice for robust physical Defense (and somewhat better typing).
  • School Wishiwashi lacks in bulk, turning out similar to Basculegion, but its huge offenses have been cited as useful by some players.
  • I didn't deeply dive into this, but Gourgeist-Super seems to be the best among the rather large variety of Ghost/Grass-types we have at our disposal. Best in bulk and middle of the line when it comes to Attack.
  • Darmanitan-Galar-Zen has remarkably okayish bulk, surpassing Mega Banette, Mega Gengar, and even un-Transformed Blissey. This makes it a good choice to Tera Ghost on offensive teams. It blows Flutter Mane and Hisuian Zoroark out of the water.
Completely unrelated fun fact I found out while goofing off with Brute Bonnet: You can hack any gender onto any Pokémon in Custom Game and Metronome Battle by using import/export and attaching the gender indicator to their name. I was able to create female Brute Bonnet to be Chungus' wife thanks to the power of unholy science. I imagine some may wish to create female Pokéstar Giant in a similar fashion. This actually has strategic implications, too—it renders you able to infatuate foes, although it also makes you vulnerable to it yourself.
 

Attachments

Last edited:
IMG_20230116_011240.jpg


Mfw I lost count and actually reached 67 at 36 battles, but of course I was losing an extra battle after that, so had to play a few more x(

Props to mnemo Flametix who I believe was doipy hooves for OHKOing my Guzzlord with a non boosted tera-flying Dragonite's Mega Punch (I literally had to go to help room to figure it out) for the idea for the team that finally made it:

Landorus-Therian @ Choice Band
Ability: Aerilate
Tera Type: Flying
EVs: 252 HP / 252 Atk / 252 Def / 252 SpA / 252 SpD
Brave Nature
IVs: 0 Spe
- Metronome

Ting-Lu @ Weakness Policy
Ability: Delta Stream
Tera Type: Ghost
EVs: 252 HP / 252 Atk / 252 Def / 252 SpA / 252 SpD
Brave Nature
IVs: 0 Spe
- Metronome

Lando hits quite hard, without being too weak on defenses at all. It always teras turn 1. Ting-Lu seems so far to be the best for bulky balance support, and will usually proc Weakness Policy and have enough HP to continue hitting, usually after Lando is gone.

Might not be optimal but I totally enjoy these kind of teams, specially when you get to hit hard and fast with Aerilate normal moves.

Regarding Opportunist, while it could have had the possibility of enabling a playable format, it seemed extremely centralizing. I like the variety of strategies that are flourishing without having to worry for being punished for boosting a stat, so ye, Opportunist should be banned.
 
Metronome Battles Official Unofficial Abilities Tier List by Jeffdaboss
Unfortunately since Smogon stopped sending me notifications from this thread I completely missed out on the Opportunist suspect which is very sad, but I'm glad to see it go nonetheless. I thought that I would take some time and try and get this tier list fully updated for Gen 9, so here it is. Most of it is the same, but I have moved around a couple old abilities, and added in all of the new ones. Glad to see a lot of activity lately, and I will be dropping some teams I'm working on in the coming days/weeks. Happy Battling!

*All abilities are sorted in alphabetical order*
Comatose: This Pokemon cannot be statused, and is considered to be asleep
This is a super solid ability. So many games can be ended with a single Toxic or Poison, and your super offensive Pokemon can be crippled by burn, freeze, or paralysis, and this avoids them all. The only downside is the very rare Bad Dreams user, which will effectively win against comatose immediately, as the comatose Pokemon will only last 8 turns without proper healing.

Competitive/Defiant: This Pokemon's Sp Atk is raised by 2 for each of its stats that is lowered by a foe.
Talk about meta-defining abilities, these two are some of the biggest staples of Metronome Battles. Any negative stat change instantly becoming useful for you is great to see.

Filter/Prism Armor/Solid Rock: This Pokemon receives 3/4 damage from super-effective attacks
I thought for a bit on this one. Usage wise, it feels more like an A-Tier ability, as it really only sees usage with Glastrier and the occasional Galar-Moltres, however I feel like people need to be using it more. Making the strongest moves weaker is terrific, and helps preserve the bulk of what could already be a very bulky mon, without sacrificing the utility of weakness policy. Always use Prism Armor, as it bypasses Mold Breaker type Abilities.

Flower Veil: This side's Grass Types can't have stats lowered or status inflicted by other Pokemon
This is soooooo good, I can't even begin to say how amazing Flower Veil is. No status, no negative changes, and a way to make grass types viable in what would otherwise be a not so good metagame for them. Best used on or with mons such as Mega-Venusaur, Necturna, Dhelmise, and Shaymin-Sky, or anything with Tera-grass.

Intrepid Sword: On switch-in, this Pokemon's attack is raised by one stage.
What do I even need to say here. Busted ability.

Magic Bounce: This Pokemon blocks certain status moves and bounces them back to the user.
Got to be one of the best support abilities, if not the best. Magic Bounce gives a bounceback effect to moves like taunt, torment, toxic, octolock, disable, etc, turning what potentially could've been game over for you into a game over for your opponent.

Magic Guard: This Pokemon can only be damaged by direct attacks.
While not as good as Magic Bounce, Magic Guard is still an insanely good, while underused ability. This prevents damage that isn't coming from a direct attack, providing an immunity to life orb recoil, toxic/poison, and moves like wrap/whirlpool/fire spin. Magic Guard provides much more longevity for your Pokemon, and can even give a large power boost to all of their attacks.

Mold Breaker/Teravolt/Turboblaze: This Pokemon's moves and their effects ignore the Abilities of other Pokemon.
These abilities are great, and I wish more people used them. You can spend all this time coming up with a great ability combo, and then it is completely invalidated because of this ability.

Tinted Lens: This Pokemon's attacks that are not very effective on a target deal double damage
This ability is amazing. In a metagame where choosing a Pokemon is most of the work in the teambuilder, teams prefer Pokemon that have the most resistances possible. This ability takes advantage of that, and turns those resistances into hard hitting attacks nonetheless.

Unaware: This Pokemon ignores other Pokemon's stat stages when taking or doing damage
This ability is great mainly due to the large amount of stat boosting abilities and items in the metagame. This invalidates Intrepid Sword, Dauntless Shield, Weakness Policy, Misty/Electric/Psychic Seed, etc. Terrific when used with stall Pokemon such as Dusclops and Type: Null.

Water Bubble: This Pokemon's Water power is 2x; it can't be burned; Fire power against it is halved
Another underused ability, Water Bubble is very good. Big damage buff to water type attacks, burn immunity removing a form of passive damage, and reducing damage while still proccing Weakness Policy.

Aerilate: This Pokemon's Normal-Type moves become flying type and have 1.2x power
Aerilate is a very solid ability for metronome battles. Primarily used on strong flying types, it adds another type to get the STAB bonus. It also helps with the ghost type matchup, as you won't be hitting with any normal type attacks. This ability is primarily seen on offensive flying types, such as Pokestar UFO and Mega-Pinsir

As One: The combination of Unnerve and Chilling/Grim Neigh
Definitely not an ability that has seen much usage, but one that I feel is solid in the right matchup. Teams with As One will absolutely destroy Imposter teams, as you prevent them from getting their Leppa berry off, restricting them to 5 turns of metronome. The boost from chilling/grim neigh is also nice to see, however it won't come into play as much as Unnerve will, as it only boosts if the user is getting the KO.

Analytic: This Pokemon's attacks have 1.3x power if it is the last to move in a turn.
Can only be run on one Pokemon per team as you can't have two mons both move last, but this is one of the most consistent power boosts there is. However, you run the risk of only being able to use it 100% consistently when using the slowest Pokemon, being Pyukumuku, Shuckle, and Munchlax, or by using Lagging Tail to guarantee you moving last. Either way, you must use either suboptimal Pokemon, or a suboptimal item to guarentee the boost.

Dauntless Shield: On switch-in, this Pokemon's Defense is raised by one stage
While not seen too often, Dauntless Shield is a great ability for both stall and balance teams. Just as intrepid sword is great for your offensive giants, the defense boost is very solid at guaranteeing that you Pokemon stays on the field longer. I personally enjoyed using this on a Pokemon holding a misty seed, with the partner having Misty Surge as it's ability, giving my Pokemon a Defense and Special Defense boost in every battle.

Delta Stream: On switch-in, strong winds begin until this ability is not active in battle
The Primal Weather and Delta Stream are all very strong in metronome battles. While active, Delta Stream removes the weaknesses that flying types have to electric, ice, and rock, greatly increasing their defensive capabilities. It is most seen with Pokemon such as Shaymin-Sky, Pokestar UFO, and Toucannon

Desolate Land: On switch-in, extremely harsh sunlight begins until this ability is not active in battle
Desolate Land can be extremely good when used with the right Pokemon. The ability is drought, except it lasts for as long as the Pokemon does, and prevents any water type attack from working. The best Pokemon in the meta right now for this ability is Mega-Camerupt, as Desolate Land removes its 4x weakness to water, giving it one weakness, five resistances, and an immunity, along with its massive 70/100/105 bulk. It is best used with Pokemon that are either using an ability that is boosted by sunlight, such as Cherrim's Flower Gift, Solar Power, or the rarer Chlorophyll, or on a Pokemon that is also quite weak to water, such as another Mega-Camerupt, or Coalossal.

Download: On switch-in, Attack or Sp. Atk is raised one stage based on the foes' weaker defense
Download is a super solid ability, giving your Pokemon an attacking stat boost in every match. However, the slight inconsistency in it makes it less used in the metagame, as the player would much rather that it always be one or the other. The only thing keeping Download out of S-Tier right now is the existence of Intrepid Sword, giving much more consistency.

Friend Guard: This Pokemon's allies receive 3/4 damage from other Pokemon's attacks
Very good ability, greatly increasing your longevity. However, since it doesn't effect the user at all, it falls in A tier.

Fluffy: This Pokemon takes 1/2 damage from contact moves, 2x damage from Fire moves
Hooray! It's unbanned! Not nearly as good as I once thought, it is a very nice defensive boost. Best when run on a mon that already has a Fire-type resistance, or you can just run it with Primordial Sea to ignore that all together.

Gulp Missile: When hit after Surf/Dive, attacker takes 1/4 max HP and -1 Defense, or Paralysis
This is what makes Cramorant viable. You can run the Gulping and Gorging versions, and spread stat drops and paralysis. You can only guarantee two procs of Gulp Missile a game, but the off chance you roll surf or dive makes it that much more satisfying.

Ice Scales: This Pokemon receives 1/2 damage from special attacks
Best when used on mons that already have a high physical defense, like Regirock or Shuckle.

Imposter: On switch-in, this Pokemon Transforms into the opposing Pokemon that is facing it
Imposter has been a metagame staple for along time, with dual imposter Blissey being very popular. However, it is very restricting as a strategy, as you are limited to 5 pp on metronome, making it almost necessary to run a Leppa Berry, and Blissey is really the only good Pokemon to run Imposter with.

Lightning Rod: This Pokemon draws Electric moves to itself to raise Sp. Atk by 1; Electric Immunity
Lightning Rod is another immunity ability, but is especially good because it draws in electric type attacks that could hit your ally Pokemon. It falls here due to the fact that it can also draw in electric type attacks made by your teammate, which could be used to ko an opponent.

Minus: If an active ally has this Ability or the Plus Ability, this Pokemon's Sp. Atk is 1.5x
Definitely a commitment in the teambuilder but it feels really strong. I like to think of it like running Dual Intrepid Sword Mega-Heracross but just special, and honestly it is more consistent than Intrepid Sword, due to the fact that it can't be erased with things like Topsy-Turvy, Haze, or stolen with Psych Up. It would be S Tier if you could run it without the ally with the same ability, which would've made this just a special Intrepid Sword.

Mirror Armor: If this Pokemon's stat stages would be lowered, the attacker's are lowered instead
Definitely quite useful, as any immunity to stat stages is nice. Stays out of S tier due to the prevalence of Flower Veil.

Misty Surge: On switch-in this Pokemon summons Misty Terrain.
Of the terrain abilities this one is certainly the best. While still niche, it is nice to provide an immunity to status effects, and also weaken Dragon-type attacks. It has seen usage when combined with a Pokemon using the Pixilate ability, and is also useful with Misty Seed to provide extra longevity.

Mummy/Lingering Aroma/Wandering Spirit: Pokemon making contact with this Pokemon have their Ability changed to Mummy
Budget Neutralizing Gas. Underused by surprisingly good at ruining certain team comps, such as Flower Veil, Unaware Stall, and Primal Weather. It stays in A since contact must be made to activate it, which can be somewhat challenging to do, but once it does happen it makes games much easier to win.

Pixilate: This Pokemon's Normal-Type moves become Fairy Type and have 1.2x power.
Another one of the -ate abilities, still pretty good because of strong Fairy Types such as Mega-Gardevoir, and Mega-Altaria. Falls in line with Aerilate and Refrigerate.

Primordial Sea: On switch-in heavy rain begins until this Ability is not active in battle
This does fall slightly short of being as good as Desolate Land, mainly because Desolate Land simply has more support abilities, along with some better users. Best user of Primordial Sea right now is likely either Mega-Abomasnow or Glastrier.

Purifying Salt: Ghost damage to this Pokemon dealt with a halved offensive stat; can't be statused.
Honestly this is really nice, status immunity is hard to come by, and the combo of Purifying Salt and Clear Amulet gives any mon a pseudo-Flower Veil.

Refrigerate: This Pokemon's Normal-Type moves become Ice Type and have 1.2x power.
Same as Aerilate. Best when used with Ice types for that STAB boost as well.

Serene Grace: This Pokemon's moves have their secondary effect chance doubled.
This isn't an ability that I have given much thought to, but on paper it looks like it could be good. Provides more flinches, more burns, more freezes, and just makes the game more annoying for your opponent.

Sheer Force: This Pokemon's attacks with secondary effects have 1.3x power. Nullifies the effects
Like Magic Guard, this is another way to use Life Orb without taking recoil. Also gives a nice power boost every now and then.

Simple: When this Pokemon's stat stages are raised or lowered, the effect is doubled instead.
If it weren't for Flower Veil this would drop to B, but with Flower Veil giving grass types an immunity to having stats lowered, it greatly enhances Simple's benefits, especially when used when with Weakness Policy.

Storm Drain: This Pokemon draws Water moves to itself to raise Sp Atk by 1; Water Immunity
Same deal as Lightning Rod but different type. Best with Mega-Camerupt or other mons with 4x water weakness.

Thick Fat: Fire/Ice Type moves against this Pokemon deal damage with a halved attacking stat.
Damage reduction like this that still can proc Weakness Policy is very good. Great with Mega-Venusaur.

Trace: On switch-in, or when it can, this Pokemon copies a random adjacent foe's Ability
This may be controversial. I feel like in a metagame where it can be difficult to decide on something as simple as an ability, why not let the opponent choose for you. Yeah, there are a couple scenarios where it doesn't work out and you end up with a bad ability, but I would say that 95% of the time people will be running abilities that can be viable on almost any Pokemon.

Well-Baked Body: This Pokemon's Defense is raised 2 stages if hit by a Fire move; Fire immunity.
The new Flash Fire, this is going to be far better, as the defense buff is crazy when compared to a boost to Fire-type attacks.

Wind Rider: Attack raised by 1 if hit by a wind move or Tailwind begins. Wind move immunity.
Another solid immunity ability, and the occasional Tailwind boost is nothing to scoff at as well.

Adaptability: This Pokemon's same-type attack bonus (STAB) is 2 instead of 1.5.
Adaptability will always be a strong ability no matter the metagame, but for me it feels a little underwhelming. With 18 types in the game, the odds of getting one of two on your attacks is unlikely. It will almost always be more beneficial to chose a more reliable damage boost, such as Download or Intrepid Sword.

Air Lock/Cloud Nine: While this Pokemon is active, the effects of weather conditions are disabled.
Could be good if ladder is full of weather, but ultimately it is only good when weather comes into play. When it does come into play, it can be very good, ruining strategies such as Mega-Camerupt in Desolate Land.

Anger Shell: At 1/2 or less of this Pokemon's max HP: +1 Atk, Sp. Atk, Spe, and -1 Def, Sp. Def.
Feels like it would be a solid alternative to Berserk, with the added bonus of Atk and Spe, but the defense drops help to even it out.

Bad Dreams: Causes sleeping adjacent foes to lose 1/8 of their max HP at the end of each turn
Has a niche but isn't terrific. Very rewarding if you get the sleep though.

Bulletproof: Makes user immune to ballistic moves (Shadow Ball, Sludge Bomb, Focus Blast, etc)
Definitely on the more underused side, the immunity that bulletproof provides is very useful, stopping potentially fatal attacks, but it doesn't see too much usage because it's metronome battles, you never know when a ballistic attack is coming.

Chlorophyll: If Sunny Day is active, this Pokemon's speed is doubled
While speed is definitely useful in metronome battles, I certainly don't feel like it is strong enough to necessitate it on many teams. With the extremely high speed you will get under the sun, you become susceptible to losing to Perish Song. There are also stronger abilities to be using on sun teams, such as Cherrim's Flower Gift, or using Solar Power.

Clear Body/Full Metal Body/White Smoke: Prevents other Pokemon from lowering this Pokemon's stat stages
This is outclassed in most scenarios by Mirror Armor. The only scenario where you would use this instead is against Defiant/Competitive builds. Completely outclassed by dual grass + Flower Veil. Always use Full Metal Body due to it ignoring Mold Breaker type abilities.

Contrary: If this Pokemon has a stat stage raised it is lowered instead, and vice versa
Contrary is very much a double edged sword, as stat drops are no longer detrimental to your team, stat boosts are now bad. While it has seen some usage, it just doesn't feel consistent at all for me.

Dancer: After another Pokemon uses a dance move, this Pokemon uses the same move
This is funny and not terrible

Disguise: (Mimikyu only) The first hit it takes is blocked, and it takes 1/8 HP instead
While this ability is pretty solid, it is hindered by the fact that you have to use it with Mimikyu. While Mimikyu's ghost typing is useful for metronome battles, its low attacking stats and lack of resistances cause it to fall at 132 on the usage stats as of writing this.

Dragon's Maw/Transistor: This Pokemon's attacking stat is multiplied by 1.5 while using a Dragon/Electric-type attack
These abilities fall here for the same reason that Adaptability does, because it will only benefit the user every so often. When you get locked into Outrage with Dragon's Maw it will certainly seem powerful, but you have to remember that RNG is a big part of the game, and that these abilities can only help you so much.

Drizzle/Drought: On switch-in, this Pokemon summons Rain Dance/Sunny Day
While not completely useless, it is generally more beneficial to use the Primal weather abilities over Drizzle/Drought. The 5 turn limit will only do so much for you, and if you really want more turns you should just switch to primals, because using a weather rock is a waste of an item slot. The upside to these is that it doesn't completely eliminate water/fire type moves, it just weakens them, allowing you to get more Weakness Policy procs.

Effect Spore: 30% chance of poison/paralysis/sleep on others making contact with this Pokemon
This one has a chance to move up once I test it a little more since I haven't ever used it. On paper it seems alright, mainly if you can roll poison with any semblance of consistency. We'll see on this though.

Electric Surge: On switch-in, this Pokemon summons Electric Terrain
The pros of Electric Terrain are very nice, immunity to sleep, and boosted electric type attacks. However, like the weathers listed above, the 5 turn limit isn't enough to justify it, and running Terrain Extender feels like a waste of an item slot. I have used it myself, paired with a Galvanize Mega-Ampharos, so that any electric type attacks used in that 5 turn window hit like a brick wall.

Flame Body: 30% chance a Pokemon making contact with this Pokemon will be burned
Effect Spore but with some more consistency, this might move up as well.

Flower Gift: If user is Cherrim and Sunny Day is active, it and allies's Attack and Sp. Def are 1.5x
If any other Pokemon could use this ability I feel like it would be S tier, but since it is restricted to Cherrim, with some more than underwhelming 70/70/78 bulk, it falls here.

Galvanize: This Pokemon's Normal-Type attacks become Electric Type and have 1.2x power
I really wanted to put this higher, trust me. I just couldn't end up doing it because of ground types. Sure, the boost is very nice, but giving your opponents another potential immunity that they didn't already have doesn't completely justify it.

Hadron Engine: On switch-in, summons Electric Terrain. During Electric Terrain, Sp. Atk is 1.3333x.
Almost dropped this to C, but I feel like it can't be that bad, especially because you also have the off chance of someone rolling Electric Terrain during a battle, and pairing it with a Quark Drive or Galvanize mon can't be terrible.

Healer: 30% chance of curing an adjacent ally's status at the end of each turn
It's alright, but you might as well use abilities that prevent status altogether like Flower Veil

Hydration: This Pokemon has its status cured at the end of each turn if Rain Dance is active
Probably decent under Primordial sea

Ice Face: If Eiscue, the first physical hit it takes deals 0 damage. This effect is restored in hail
Similar deal to Mimikyu, where this ability would be much better if it could be used with a different Pokemon. However, AV Cosmoem made a team with Kee Berry Eiscue, so after the first physical hit you get a defense boost. However, it will just be better to run Dauntless Shield most of the time.

Innards Out: If this Pokemon is Koed with a move, that move's user loses an equal amount of HP
Recently popularized with Bonk's Innards Out Ring Target Chansey, Innards Out is a fun, yet very niche ability. Lots of times you can get the ideal 1v1 scenario, but then you will roll earthquake with Chansey's ally turn 1 and you lose instantly.

Infiltrator: Moves ignore substitutes and foe's Reflect/Light Screen/Safeguard/Mist/Aurora Veil
It alright. Has some potential but suffers from inconsistency.

Intimidate: This Pokemon lowers the attack of adjacent opponents by one stage.
Definitely has potential to be used in the metagame, however with the looming presence of Defiant and Competitive, it really just isn't super reliable. Some games you get your -1 attack, but others you just start by giving your opponent +1.

Levitate: This Pokemon is immune to Ground. Gravity/Ingrain/Smack Down/Iron Ball nullify it.
Don't get me wrong, levitate is good. However, its usage is only necessitated on Pokemon with a 4x ground weakness, such as Heatran, Rotom-Heat, Typhlosion, etc, which are not very useful. You also miss out on potential benefits like healing from grassy terrain, and status immunity from misty terrain.

Libero/Protean: This Pokemon's type changes to the type of the move it is using. Once per switch-in.
Basically you get Tera Normal on your Mega-Evolved Pokemon, could be nice with Mega-Heracross.

Magician: If this Pokemon has no item, it steals the item off a Pokemon it hits with an attack
Niche but can be good. Best if used with something like a Weakness Policy, which is the best consumable item, or with a terrain berry if you like using terrain. You can also opt for more consistency by running no item.

Neuroforce: This Pokemon's attacks that are super effective against the target do 1.25x damage
I thought about this one for a while. I have yet to see this be used, but on paper it looks really good, taking what is already good damage, and making it hit even harder. However, in a metagame where most Pokemon that are chosen are made to have minimal weaknesses, I think it is more worthwhile to be using Tinted Lens, as it is better to make your weak attacks stronger as opposed to making your strong attacks stronger.

No Guard: Every move used by or against this Pokemon will always hit
Everytime I roll an OHKO move I think "Man, it would've been nice if I was running No Guard right now" and then I run No Guard and never roll an OHKO move. Not the best because your opponents get the benefits without the effort.

Normalize: This Pokemon's moves are changed to be Normal-Type and have 1.2x power
This can be debatable as I see the benefits of Normalize, but the looming presence of ghost types like Dusclops, Dragapult, Mega-Sableye, and Mega-Gengar make it much worse in the long run.

Pastel Veil: This Pokemon and its allies cannot be poisoned. On switch-in, cures poisoned allies
I mean I guess it's alright. Definitely has consistency as opposed to shed skin or healer, but I don't think poison is that big of a deal.

Pickup: If this Pokemon has no item, it finds one used by an adjacent Pokemon this turn
Pretty fun to use with either dual Weakness Policy or some berries. I have noticed that this is a way to use a modified Harvest + Rowap/Jaboca berries. With this team, once both Rowap Berries have been eaten, you will begin to pickup new Rowap berries. Not super consistent, but a cool loophole.

Poison Point: 30% chance a Pokemon making contact with this Pokemon will be poisoned
Pretty much the same as Poison Touch (see below). Honestly just take your pick.

Poison Touch: This Pokemon's contact moves have a 30% chance of poisoning
Not seen too often but could definitely be nice. This is the most consistent method of poisoning in the metagame, but I think that a big rise in usage here would also cause a big rise in usage for Pastel Veil/Healer/Shed Skin etc.

Power Spot: This Pokemon's allies have the power of their moves mulitplied by 1.3
If only this effected the user as well, this would be S tier 100%. Still pretty good, that buff is better than one would think.

Prankster: This Pokemon's status moves have priority raised by 1, but Dark types are immune.
Would be better in earlier gens which didn't have the dark type immunity, however with that it becomes very underused and underwhelming. Very good when no dark types are present, but then you run into double Mega-Sableye and you can't do anything.

Protosynthesis/Quark Drive: Sunny Day/Electric Terrain active or Booster Energy used: highest stat is 1.3x, or 1.5x if Speed.
Very solid in Desolate Land, and with a Booster Energy, although it is only useful when boosting defenses, as there are better abilities for the offensive stats.

Punk Rock: This Pokemon receives 1/2 damage from sound moves. Its own have 1.3x power.
While definitely better than abilities like Iron Fist and Mega Launcher, you can certainly make an argument here, but it still struggles with consistency issues.

Sap Sipper: This Pokemon's attack is raised 1 stage if hit by a Grass-Type move. Grass Immunity.
Good when run on Swampert and other mons with a 4x grass weakness, but none of these are very viable.

Scrappy: Fighting, Normal moves hit Ghost. Immune to Intimidate
Definitely viable due to the high amount of Ghost types, but consistency brings it down to B tier.

Shed Skin: This Pokemon has a 33% chance to have its status cured at the end of each turn.
Another ability that I haven't seen much of but could certainly be good when used more. Gets rid of your toxic/burn which is nice.

Shield Dust: This Pokemon is not affected by the secondary effect of another Pokemon's attack
No scald burn, no rock slide flinch, no poison fang poison, no ice beam freeze etc. Good but inconsistent as it relies on your opponent getting lucky enough to a) roll the move, and b) get the roll for the secondary effect.

Sniper: If this Pokemon strikes with a critical hit, the damage is multiplied by 1.5x
This is really only reliable when used on Sirfetch'd/Farfetch'd, as they are the only mons who can use the leek, giving plus 2 crit chance, making them the most likely to get crits. Since that is the case, and those mons aren't super good, Sniper falls here.

Soul-Heart: This Pokemon's Sp. Atk is raised by one stage when another Pokemon faints.
Now don't get me wrong, I love Soul-Heart, but it is really only good when run with Innards Out Chansey.

Soundproof: This Pokemon is immune to sound-based moves, including Heal Bell
See Bulletproof

Speed Boost: This Pokemon's Speed is raised by 1 stage when another Pokemon faints.
Speed is certainly not the best stat when it comes to Metronome Battles. Sure, you will outspeed your opponents almost every time, but this causes you to also lose to Perish Song almost every single time.

Stall: This Pokemon moves last among Pokemon using the same or greater priority moves
I don't think this effects Perish Song so it's just not good. Just use a slow Pokemon.

Steely Spirit: This Pokemon and its allies' Steel-Type moves have their power multiplied by 1.5x.
Adaptability is better, but even then just use Intrepid Sword/Download. Much more consistency there.

Stench: This Pokemon's attacks without a chance to flinch gain a 10% chance to flinch
If this stacked with King's Rock it'd be decent

Super Luck: This Pokemon's critical hit ratio is raised by 1 stage
Somewhat inconsistent without Leek, but it's funny

Swift Swim: If Rain Dance is active, this Pokemon's Speed is doubled.
See Chlorophyll for explanation. Only better than other speed-boosting abilities because of Primordial Sea.

Synchronize: If another Pokemon burns/poisons/paralyzes this Pokemon, it also gets that status
While underwhelming due to the random nature of the metagame, it's not completely unviable since it takes those negatives that you get and shares with the opponent. It's a lose-lose scenario.

Tablets of Ruin: The Attack stat of all other active Pokemon is multiplied by 0.75.
Personally this one is borderline A and B tier, as I find it extremely useful when dealing with a lot of Mega-Heracross teams on ladder, pairing it with a special attacker, such as Mega-Venusaur or Mega-Ampharos.

Technician: This Pokemon's moves of 60 power or less have 1.5x power. Includes Struggle
Struggle being included on this can be clutch in some scenarios. Very niche but not completely unviable.

Thermal Exchange: This Pokemon's Attack is raised by 1 when damaged by Fire moves; can't be burned.
Could be very nice when used on your physical attackers, with the tradeoff of needing your opponent to hit their fire type moves.

Victory Star: This Pokemon and its allies' moves have their accuracy multiplied by 1.1
Missing is annoying, and this is certainly the best way to combat that.

Wonder Skin: Status moves with accuracy checks are 50% accurate when used on this Pokemon
Status moves are annoying. So just dodge them.

Aftermath: If this Pokemon is KOed with a contact move, that moves user loses 1/4 of its max HP
Innards Out is better, but still very niche

Anger Point: If this Pokemon(not its substitute) take a critical hit, its Attack is raised 12 stages
Man I would be mad if I rolled a lucky crit just to realize that my opponent was using Anger Point. It's alright, but pretty underwhelming if you ask me

Aroma Veil: Protects user/allies from Attract, Disable, Encore, Heal Block, Taunt, and Torment
This is a weird one because on paper it looks really good, making your team immune to lots of instant game-overs. However, most of the time it will be more beneficial to just run Magic Bounce instead, as instead of just removing the game-overs, you force it onto your opponents.

Aura Break: While this Pokemon is active, the Dark Aura and Fairy Aura power modifier is 0.75x
No one uses auras

Battery: This Pokemon's allies have the power of their special attacks multiplied by 1.3
Power Spot is this but with physical and special

Battle Armor/Shell Armor: This Pokemon cannot be struck by a critical hit
If you are that annoyed by crits in metronome battles I think you should just play another game.

Beads of Ruin/Sword of Ruin: The Special Defense/Defense stat of all other active Pokemon is multiplied by 0.75.
I'm not a huge fan of these abilities, and I feel like the best option is to use a stat boost ability for yourself, such as Download or Intrepid Sword.

Beast Boost: This Pokemon's highest stat is raised by 1 if it attacks and KOes another Pokemon
Not really useful, because the only stat that you really want to raise is your attacking stats, which can already be done with abilities like Defiant/Competitive, As One, Intrepid Sword, and Download.

Berserk: This Pokemon's Sp Atk is raised by 1 when it reaches 1/2 or less of its max HP
Just run Download so that you don't have to wait to fall under 1/2 HP. The only thing that could possible make Berserk better would be it you somehow healed HP after falling under half and then activate Berserk again, but that will rarely ever happen.

Blaze/Overgrow/Swarm/Torrent: At 1/3 or less of its max HP, this Pokemons attacking stat is 1.5x with Fire/Grass/Bug/Water type attacks
But why tho? Just pick something that is better

Big Pecks: Prevents other Pokemon from lowering this Pokemon's Defense stat stage
Just run Flower Veil/Clear Body/Mirror Armor, since those prevent all stat drops from other Pokemon

Color Change: This Pokemon's type changes to the type of a move it's hit by, unless it has the type
One of the only ways to get a steel type in Metronome Battles, but that isn't good enough, because you will likely lose it shortly thereafter.

Chilling/Grim Neigh: This Pokemon's attack is raised by one stage if it attacks and KOs another Pokemon
See As One in A-Tier

Compound Eyes: This Pokemon's moves have their accuracy multiplied by 1.3x
It is always going to be better to use No Guard, even with the downside that your opponents won't be missing either.

Corrosion: This Pokemon can poison or badly poison other Pokemon regardless of their typing
This would be slightly more viable if steel types were in the meta, but since those are gone, this ability rarely comes into play, as poison types aren't super common, and moves that will cause poison are even less common.

Cotton Down: If this Pokemon is hit, it lowers the Speed of all other Pokemon on the field by 1 stage.
Your 1 Pokemon with this ability can outspeed everything, but what about your other partner? I guess you could give them Clear Body or maybe Contrary or something like that, but then you just lose to Perish Song.

Cud Chew: If this Pokemon eats a Berry, it will eat that Berry again at the end of the next turn.
I mean it's usable and will help, but Harvest or Dual Pickup is going to be better.

Cute Charm: 30% chance of infatuating Pokemon of the opposite gender if they make contact
Could be good if you get lucky with genders, but it will likely be unreliable

Dark and Fairy Aura: While this Pokemon is active, any Dark/Fairy move used by any Pokemon has 1.33x power
While on paper using either Aura looks strong, the fact that it is benefitting both sides of the field makes it never seen on ladder, combined with the unlikeliness that the move chosen will be the right type.

Damp: Prevents Explosion/Mind Blown/Misty Explosion/Self-Destruct/Aftermath while active
Yeah you don't blow yourself up, but then your opponents don't blow themselves up

Armor Tail/Dazzling/Queenly Majesty: While this Pokemon is active, allies are protected from opposing priority moves.
Just use dark types if your so worried about it, but there isn't a reason to worry about it in the first place.

Early Bird: This Pokemon's sleep counter drops by 2 instead of 1
Once again, I don't hate sleep

Electromorphosis: This Pokemon gains the Charge effect when it takes a hit from an attack.
Not super useful, due to the small chance of rolling an Electric type attack.

Flare Boost: While this Pokemon is burned, its special attacks have 1.5x power
Outclassed by Choice Specs. That chip damage will add up quickly.

Flash Fire: This Pokemon's Fire attacks do 1.5x damage if hit by one Fire move; Fire immunity
Still a good ability, but Well-Baked Body is going to be much better now.

Forecast: Castform's type changes to the current weather conditions type, except Sandstorm
First off, why are you running Castform. #289 in usage for December 2021. Castform is outclassed by so much. If you want normal type use Pokestar-Giant/Humanoid, if you want water use Manaphy, if you want fire use Pokestar White Door, and why would you want to use ice.

Frisk: On switch-in, this Pokemon identifies the held items of all opposing Pokemon
Has a niche use in being able to see your opponents items. In the game, this can really only help in knowing if you need to dynamax if a charge move is chosen, as the dynamax isn't needed if your opponent has a choice item. It can also be useful on the ladder as a whole, since you can potentially counterteam to beat the teams on the ladder.

Gale Wings: If this Pokemon is at full HP, its Flying-type moves have their priority increased by 1
I mean just use prankster at this point.

Gluttony: When this Pokemon has 1/2 or less of its maximum HP, it uses certain Berries early
I don't even know what berries this would effect, but I'm sure that there is at least one, giving it some viability.

Grass Pelt: If Grassy Terrain is active, this Pokemon's Defense is multiplied by 1.5
Grassy Terrain is quite rare due to the absence of Grassy Surge

Good as Gold: This Pokemon is immune to Status moves.
DON'T USE GOOD AS GOLD JUST USE MAGIC BOUNCE PLEASE I BEG OF YOU

Gooey: Pokemon making contact with this Pokemon have their speed lowered by 1 stage
Just a worse Cotton Down, but that isn't even saying much.

Guard Dog: Immune to Intimidate. Intimidated: +1 Attack. Cannot be forced to switch out.
Only good if someone on ladder is running Intimidate, and those players are few and far between.

Guts: If this Pokemon is statused, its Attack is 1.5x; ignores burn halving physical damage
While yes, on paper is looks nice to get a benefit out of a status, but it really isn't that good. You still take burn/poison damage, you are still slowed by paralysis, and you are still frozen. If you really want that attack boost, just go with the tried and true Intrepid Sword.

Harvest: If last item used is a berry, 50% chance to restore it each end of turn. 100% in Sun.
This is a decent ability, but it falls here mainly due to the lack of good berries to use with it. Your only decent option is a Leppa Berry, but no match is going long enough for that to be necessary.

Heatproof: The power of Fire-type attacks against this Pokemon is halved; burn damage halved
This is pretty good on paper, since you take less damage from fire attacks while still proccing Weakness Policy, but just use Thick Fat. You trade off the halved burn damage for an additional halved power from Ice type attacks.

Hunger Switch: If Morpeko, it changes, between Full Belly and Hangry Mode at the end of each turn
Aura Wheel is not a callable move, so that can't be effected by this ability. However, there is a niche use, in which at the end of the turn, your type will always revert back to Electric-Dark. This prevents much effect from moves like Soak, Forest's Curse, Trick-or-Treat, Conversion, etc.

Hustle: This Pokemon's Attack is 1.5x and accuracy of its physical attacks is 0.8x
Just use Intrepid Sword. You will go mad missing attacks that much.

Hyper Cutter: Prevents other Pokemon from lowering this Pokemon's Attack stat stage
Just use Flower Veil/Clear Body/Mirror Armor

Immunity: This Pokemon cannot be poisoned. Gaining this ability while poisoned cures it.
Just use a poison type if you're so paranoid about it.

Inner Focus: This Pokemon cannot be made to flinch. Immune to Intimidate
Intimidate is almost never seen, and flinching saves you some PP

Insomnia: This Pokemon cannot fall asleep. Gaining this ability while asleep cures it.
Maybe this is just me, but I really don't mind falling asleep. It's not super likely that my opponent can suddenly take advantage of me falling alsspe, and it helps me out if we go past Move 16.

Iron Fist: This Pokemon's punch-based attacks have 1.2x power. Sucker Punch is not boosted.
Similar to the aura abilities, you simply won't be rolling punch attacks at any consistency for it to be useful.

Justified: This Pokemon's attack is raised by 1 stage after it is damaged by a Dark type move
Just use Intrepid Sword for crying out loud people

Keen Eye: This Pokemon's accuracy can't be lowered by others; ignores their evasiveness stat
Just use Flower Veil/Clear Body/Mirror Armor if you are worried about accuracy. Use Unaware/No Guard if you are worried about evasiveness

Leaf Guard: If Sunny Day is active, this Pokemon cannot be statused and Rest will fail for it
Just use Flower Veil, or a better Sun ability, like Flower Gift Cherrim or Chlorophyll

Light Metal: This Pokemon's weight is halved
Congrats! Now you take slightly less damage from Low Kick!

Limber: This Pokemon cannot be paralyzed. Gaining this ability while paralyzed cures it.
Pretty much the same as Insomnia, I don't mind being paralyzed that much. I just deal with it and save some PP in the process.

Liquid Ooze: This Pokemon damages those draining HP from it for as much as they would heal
Not too many draining moves

Liquid Voice: This Pokemon's sound-based moves become Water type
It's probably decent, but it just feels like a worse version of the -ate abilities but for water types.

Long Reach: This Pokemon's attacks do not make contact with the target
Immunity to stuff like Flame Body, but do you really need to use your ability slot to ignore that? I don't think so

Magma Armor: This Pokemon cannot be frozen. Gaining this Ability while frozen cures it
Freeze is the rarest of the status conditions, so you don't need to use an ability to be immune to it.

Marvel Scale: If this Pokemon is statused, its Defense is 1.5x
Just use Dauntless Shield

Mega Launcher: This Pokemon's pulse moves have 1.5x power. Heal Pulse heals 3/4 of target's max HP.
Same deal as the others, not enough pulse moves to justify using it, and it's sad enough when you roll heal pulse, but even sadder if you're running Mega Launcher and roll heal pulse.

Merciless: This Pokemon's attacks are critical hits if the target is poisoned
I thought this said user instead of target for a second and that would be busted but yeah this is pretty bad.

Mimicry: This Pokemon's type changes to match the Terrain. Type reverts when Terrain ends
Don't even think about using this

Motor Drive: This Pokemon's speed is raised by 1 stage if hit by an Electric-type move; Electric Immunity
Lightning Rod is just better. Motor Drive doesn't draw moves that don't target it, and the speed boost really isn't that good in Metronome Battles.

Moxie: This Pokemon's Attack is raised by 1 stage if it attacks and KO's another Pokemon.
Just use Intrepid Sword

Multiscale/Shadow Shield: If this Pokemon is at full HP, damage from attacks is halved.
Looks good on paper, but you are rarely ever at full HP. If you choose to use these, use Shadow Shield, due to its ability to bypass Mold Breaker type abilities.

Mycelium Might: This Pokemon's Status moves go last in their priority bracket and ignore Abilities.
Just a worse Mold Breaker all around.

No Ability: _______________________________________________________________________________________________________________________________________
Prevents Trace from activating, which is not something I thought of, but it makes complete sense. Still extremely niche, due to the low usage of Trace.

Oblivious: This Pokemon cannot be infatuated or taunted. Immune to Intimidate
Just run Magic Bounce or Aroma Veil, you don't need to be worrying about Intimidate

Orichalcum Pulse: On switch-in, summons Sunny Day. During Sunny Day, Attack is 1.3333x.
Very outclassed by the infinite length Desolate Land.

Own Tempo: This Pokemon cannot be confused. Immune to Intimidate
While yeah these don't protect against confusion, once again, just run Magic Bounce

Overcoat: This Pokemon is immune to powder moves and damage from Sandstorm or Hail
I mean just use a grass type. Sandstorm and Hail don't come up often enough to necessitate this anyways.

Persistent: When used, Gravity/Heal Block/Safeguard/Tailwind/Room effects last 2 more turns
Similar niche to the other abilities here, you simply aren't rolling them enough.

Pickpocket: If this Pokemon has no iteam and is hit by a contact move, it steals the attacker's item
Magician is better here, because you just need to hit another Pokemon with an attack to take their item.

Power of Alchemy/Receiver: This Pokemon copies the Ability of an ally that faints
One of the most niche abilities there are. You will only see this used with Shedinja to acheive the Sturdinja, which is underwhelming at best.

Propeller Tail/Stalwart: This Pokemon's moves cannot be redirected to a different target by any effect
Yeah, you can kind of ignore Storm Drain and Lightning Rod, but there is still the 50% chance that you target the mon with the ability, and they still have that immunity even if you ignore redirection. Mold Breaker is certainly better.

Psychic Terrain: On switch-in this Pokemon summons Psychic Terrain
Of the terrains this one is the worst, as the only benefits are no priority and a boost to psychic type attacks. There is no way increase your odds of getting more psychic type attacks like the other terrains have with Galvanize and Pixilate, and preventing priority isn't good because prankster is almost never used.

Rattled: Speed is raised 1 stage if hit by a Bug-, Dark-, or Ghost-type attack, or Intimidated
If I've said it once I've said it a thousand times, SPEED IS NOT THAT IMPORTANT

Reckless: This Pokemon's attacks with recoil or crash damage have 1.2x power; not Struggle
Easy B-Tier if this boosts Struggle. Same deal as Iron Fist otherwise

Ripen: When this Pokemon eats a Berry, its effect is doubled
Definitely an underwhelming one here, sure you can deal 1/4 damage with Rowap/Jaboca Berry, maybe you get +2 with Kee Berry etc. Feels like it would be better to run Harvest with these as then you get the chance to get the effect 3+ times instead of the 2 you would get with Ripen.

Rock Head: This Pokemon does not take recoil damage besides Struggle/Life Orb/crash damage
Not enough recoil moves to justify it.

Rocky Payload: This Pokemon's offensive stat is multiplied by 1.5 while using a Rock-type attack.
Just run Intrepid Sword

Sand Force: This Pokemon's Ground/Rock/Steel attacks do 1.3x in Sandstorm; immunity to it
But why tho

Sand Rush: If Sandstorm is active, this Pokemon's speed is doubled. Immunity to Sandstorm
While not completely useless since you can still roll Sandstorm with Metronome, just run Speed Boost instead if you care that much.

Sand Veil: If Sandstorm is active, this Pokemon's evasiveness is 1.25x; immunity to Sandstorm
^see above^

Sharpness: This Pokemon's slicing moves have their power multiplied by 1.5.
Same reasoning as Iron Fist, not enough slicing moves.

Skill Link: This Pokemon's multi-hit attacks always hit the maximum number of times.
Same as the others, not enough consistency to justify using it.

Slush Rush: If Hail is active, this Pokemon's speed is doubled.
A little more consistent, but Speed isn't so important that it requires something like this.

Snow Cloak: If Hail is active, this Pokemon's evasiveness is 1.25x; immunity to Hail
Likely your best ability for a Hail team.

Snow Warning: On switch-in, this Pokemon summons Hail.
Yeah, you can use this now. Best option for a partner is Snow Cloak cause Slush Rush is bad.

Solar Power: If Sunny Day is active, this Pokemon's Sp. Atk is 1.5x; loses 1/8 max HP per turn
Not too good because if you run it with desolate land, you are dead in 8 turns barring any healing. Just use a Choice Specs with Download or something.

Static: 30% chance a Pokemon making contact with this Pokemon will be paralyzed
Better to use Flame Body or Poison Touch, because those statuses deal damage, while paralysis only slows them down, and in a metagame where moving last is arguably better than moving first, paralysis isn't something that is prioritized.

Steadfast: If this Pokemon flinches, its Speed is raised by 1 stage
SPEED IS NOT IMPORTANT

Steam Engine: This Pokemon's Speed is raised by 6 stages after it is damaged by Fire/Water moves
Once again, speed is not a huge priority in Metronome Battles, so an ability like this doesn't really help a whole lot.

Steelworker: This Pokemon's attacking stat is multiplied by 1.5 when using a Steel-Type attack.
Essentially a worse adaptability, but falls here because of Steely Spirit.

Sticky Hold: This Pokemon cannot lose its held item due to another Pokemon's attack
Only effects getting hit by moves like knock off and corrosive gas, very rarely seen.

Strong Jaw: This Pokemon's bite-based attacks have 1.5x power. Bug Bite not boosted
Same deal as the others. Why is Bug Bite not boosted anyways?

Sturdy: If this Pokemon is at full HP, it survives one hit with at least 1 HP. Immune to OHKO.
Attacks that will one shot you are pretty few and far between in Metronome Battles. So much so Sturdy becomes almost completely unviable.

Surge Surfer: If Electric Terrain is active, this Pokemon's speed is doubled.
Just run Speed Boost.

Sweet Veil: This Pokemon and its allies cannot fall asleep
Once again, I don't really dislike falling asleep, since you preserve PP, and you have less chances of rolling into insta-losses such as Self-Destruct, Memento, or Final Gambit.

Symbiosis: If an ally uses its item, this Pokemon gives its item to that ally immediately
Pickup is just better, because Symbiosis will really only work once. Pickup can keep activating provided that you use the items.

Tangled Feet: This Pokemon's evasiveness is doubled as long as it is confused
This is kinda cool ngl, but there really isn't a way to both get confused and stay confused in Metronome Battles.

Tangling Hair: Pokemon making contact with this Pokemon have their Speed lowered by 1 stage
Being slower can be good sometimes

Telepathy: This Pokemon does not take damage from attacks made by its allies
Definitely useful, but is quite underwhelming, as it really doesn't do too much. The immunity to Self-Destruct, Explosion, EQ and stuff like that is just alright.

Truant: This Pokemon skips every other turn instead of using a move
Now you may be thinking, "Jeff, Truant makes you move less. Doesn't that qualify this ability as 'detrimental to the user'?" The answer is yes and no. Yes, you move less. Half the time to be exact. No, this ability is not entirely 'detrimental to the user'. I can see a very small semblance of viability here, when using extreme stall. This would allow you to PP stall your opponent, provided that you can live for 16 turns. Now should you use it? Hell no, but to be honest you really shouldn't be using anything in this tier with competitive visions in mind.

Tough Claws: This Pokemon's contact moves have their power multiplied by 1.3
See most of this tier for explanation

Toxic Boost: While this Pokemon is poisoned, its physical attacks have 1.5x power
Since you don't get immunity to poison, this doesn't seem good at all.

Unburden: Speed is doubled on held item loss; boost is loss if it switches, gets new item/ability
Speed is kinda unnecessary tho

Unnerve: While this Pokemon is active, it prevents opposing Pokemon from using their Berries
See As One

Vessel of Ruin: The Special Attack stat of all other active Pokemon is multiplied by 0.75.
Special Attack is the less common one, so this one is a little lower than the tablets.

Vital Spirit: This Pokemon cannot fall asleep. Gaining this Ability while asleep cures it
Just run Sweet Veil if you're so worried about it.

Water Compaction: This Pokemon's Defense is raised 2 stages after it is damaged by a Water-type move
I mean it's not completely useless, but just use Stamina. It is less of a damage boost but it is far more consistent, because it can activate on any attack, not just water type attacks.

Water Veil: This Pokemon cannot be burned. Gaining this Ability while burned cures it
Just run Water Bubble

Wind Power: This Pokemon gains the Charge effect when hit by a wind move or Tailwind begins.
This would be solid if there was an immunity to Flying-type attacks. Wonder if an ability like that exists.

Anticipation: On switch-in, this Pokemon shudders if any foe has a supereffective or OHKO move
And what if they do? What are you gonna do about it, huh?

Arena Trap/Shadow Tag: Prevents adjacent foes from choosing to switch unless they are airborne (Arena Trap) or have this ability (Shadow Tag).
There is no switching in Metronome Battles

Ball Fetch/Honey Gather/Illuminate/Run Away: No competitive use
ඞඞඞඞඞ

Costar: On switch-in, this Pokemon copies all of its ally's stat stage changes.
Still not switching

Curious Medicine: On switch-in, this Pokemon's allies have their stat stages reset to 0
No switching

Emergency Exit/Wimp Out: This Pokemon switches out when it reaches 1/2 or less of its maximum HP
No switching

Forewarn: On switch-in, this Pokemon is alerted to the foes' move with the highest power
"Attention, the opponent has the move, 'Metronome'!"

Illusion: This Pokemon appears as the last Pokemon in the party until it takes direct damage
Only two mons in the party, and it's not like you opponent will be doing anything differently as they only have one choice. I don't even think it works but I'm too lazy to test it.

Magnet Pull: Prevents adjacent Steel-type foes from choosing to switch
No steel types, and no switching anyways

Mountaineer: On switch-in, this Pokemon avoids all Rock-type attacks and Stealth Rock
Since you can't switch-in, this does nothing.

Multitype: If this Pokemon is an Arceus, its type changes to match its held Plate or Z-Crystal.
No Arceus, but even if there was Arceus you could just pick your type and run a real ability.

Natural Cure: This Pokemon has its non-volatile statues condition cured when it switches out
No switching

Quick Draw: This Pokemon has a 30% chance to move first in its priority bracket with attacking moves
Now I haven't tested this, but I don't think this would do anything since you are only clicking status moves, so I don't think this would do anything, but if it does, we'll put it in C because you can just use Prankster.

Rebound: On switch-in, blocks certain status moves and bounces them back to the user
No switching in

Regenerator: This Pokemon restores 1/3 of its max HP, rounded down, when it switches out.
No switching

Rivalry: This Pokemon's attacks do 1.25x on same gender targets; 0.75 on opposite gender
Literally just use any other attack boosting ability, because here there is a chance that it hurts you instead of helping you.

RKS System: If this Pokemon is a Silvally, its type changes to match its held Memory.
Same as Multitype but with Silvally. Just pick your type on teambuilder and run a real ability.

Screen Cleaner: On switch-in, the effects of Aurora Veil, Light Screen, and Reflect end for both sides
No switching, and there won't be any screens up at the start of the game.

Seed Sower: When this Pokemon is hit by an attack, the effect of Grassy Terrain begins.
Healing Clause

Stakeout: This Pokemon's attacking stat is doubled against a target that switched in this turn.
No switching

Stance Change: If Aegislash, changes form to Blade before attacks and Shield before Kings Shield.
Just pick one, you can't roll Kings Shield to change back anyways.

Suction Cups: This Pokemon cannot be forced to switch out by another Pokemon's attack or item
No switching

Supreme Overlord: This Pokemon's moves have 10% more power for each fainted ally, up to 5 allies.
No one will be dead when you switch in

Toxic Debris: If this Pokemon is hit by a physical attack, Toxic Spikes are set on the opposing side.
Toxic Spikes are useless

Triage: This Pokemon's healing moves have their priority increased by 3
You can't click healing moves

Unseen Fist: All contact moves hit through protection
No protecting in Metronome Battles, and it doesn't go through Max

Zero to Hero: If this Pokemon is a Palafin in Zero Form, switching out has it change to Hero Form.
Never switching out.

Defeatist: While this Pokemon has 1/2 or less of its max HP, its Attack and Sp. Atk are halved
Why

Heavy Metal: This Pokemon's weight is doubled
Guess what? Now you take more damage from Low Kick! Wow! Amazing!

Klutz: This Pokemon's held item has no effect, except Macho Brace. Fling cannot be used
Trick/Switcheroo can't be called by metronome, and fling doesn't work, so the only way to transfer an item this way is through Magician, and even then what item would you even use, Lagging Tail? Not good, just use a different ability so that you can use a good item.

Schooling: If user is Wishiwashi, changes to School Form if it has > 1/4 max HP, else Solo Form.
Please never run this. Just run School Form and pick another ability.

Shields Down: If Minior, switch in/end of turn it changes to Core at 1/2 max HP or less, else Meteor
No one should run Minior anyways (#369 as of Dec 2021), and if you do you surely shouldn't run Shields Down, just pick a form and stick with it so you can run an actually useful ability. The only one I've seen was a dub for me.

Slow Start: On switch-in, this Pokemon's Attack and Speed are halved for 5 turns
lol

Weak Armor: If a physical attack hits this Pokemon, Defense is lowered by 1, Speed is raised by 2
Of the F-Tier, this is my most opinionated choice. It isn't entirely detrimental, but it will certainly do more harm than good. Speed just isn't that good in the meta, and if you are so worried about it, just run Speed Boost.

Zen Mod: If Darmanitan, at end of turn changes Mode to Standard if > 1/2 max HP, else Zen
No matter what form of Darmanitan you are running, whether that be Galarian or Unovian, the Zen form is going to be better, as it has better defenses for Unovian, and better Attack for Galarian.

Battle Bond: After KOing a Pokemon: becomes Ash-Greninja, Water Shuriken: 20 power, hits 3x
Ash-Greninja bypasses the 625 BST limit, so this ability is currently banned. If the BST limit wasn't there, it would fall in the D-Tier, because you would rather just start with Ash-Greninja anyways

Commander: If ally is Dondozo: this Pokemon cannot act or be hit, +2 to all Dondozo's stats.
This was funny while it lasted, but this was all that was viable.

Cheek Pouch: If this Pokemon eats a berry, it restores 1/3 of its max HP after the berry's effect
Healing Clause

Cursed Body: If this Pokemon is hit by an attack, there is a 30% chance that move gets disabled.
It's essentially an ability that uses taunt 30% of the time

Dry Skin: This Pokemon is healed 1/4 by Water, 1/8 by Rain; is hurt 1.25x by Fire, 1/8 by Sun
Healing Abilities are all banned, placing this here. If it wasn't banned, it would be an S-Tier ability, as combined with Primordial sea you would be an absolute powerhouse of a mon.

Earth Eater: This Pokemon heals 1/4 of its max HP when hit by Ground moves; Ground immunity.
Healing Clause

Fur Coat: This Pokemon's Defense is doubled
The suspect test enlightened me. I was once a foolish Pokemon player who thought, "Yeah, an ability that boosts Defense, and another that boosts Special Defense should be just as good as each other." Oh how wrong I was. Dual Fur Coat Guzzlord will always live in my mind.

Gorilla Tactics: This Pokmeon's attack is 1.5x, but it can only execute the first move it executes
Do I even need to elaborate, literally just a choice band but an ability.

Grassy Surge: On switch-in, this Pokemon summons Grassy Terrain
Healing Clause

Huge/Pure Power: This Pokemon's attack is doubled
-_-

Ice Body: If Hail is active, this Pokemon heals 1/16 of its max HP each turn; immunity to Hail
Healing Clause

Iron Barbs: Pokemon making contact with this Pokemon lose 1/8 of their max HP
If only...

Moody: Boosts a random stat (except accuracy/evasion) +2 and another stat -1 every turn.
This would be funny tho

Neutralizing Gas: While this Pokemon is active, Abilities have no effect
Thank Arceus this was banned.

Opportunist: When an opposing Pokemon has a stat stage raised, this Pokemon copies the effect.
Good Riddance

Parental Bond: This Pokemon's damaging moves hit twice. The second hit has its damage quartered
This would be kinda funny but overall bad for the meta

Perish Body: Making contact with this Pokemon starts the Perish Song effect for it and the attacker
Wouldn't this just make for the most skill based metagame ever. You would pretty much have to run this team and almost every game would come down to a speed tie.

Pressure: If this Pokemon is the target of a foe's move, that move loses one additional PP
Man wouldn't that be fun for the whole family. No PP allowed

Poison Heal: This Pokemon is healed by 1/8 of its max HP each turn when poisoned. No HP loss
Healing Clause

Power Construct: If Zygarde 10%/50%, changes to Complete if at 1/2 max HP or less at end of turn.
Bypasses the BST limit

Rain Dish: If Rain Dance is active, this Pokemon heals 1/16 of its max HP each turn
Healing Clause

Rough Skin: Pokemon making contact with this Pokemon lose 1/8 of their max HP
Harming Abilities Clause

Sand Spit: When this Pokemon it hit, Sandstorm begins
See Below

Sand Stream: On switch-in, this Pokemon summons Sandstorm.
Harming Abilities Clause

Stamina: This Pokemon's Defense is raised by 1 stage after it is damaged by a move.
I'm not gonna lie I wrote this entire tier list and then realized that this was banned lol.

Volt/Water Absorb: This Pokemon heals 1/4 of its max HP when hit by Electric/Water moves; Electric/Water Immunity
Healing Clause

Wonder Guard: This Pokemon can only be damaged by supereffective moves and indirect damage
Only usable on Shedinja (RIP Pokestar Spirit), otherwise it is banned cause OP
 
Last edited:
Got reqs:
View attachment 482879

With this team:
https://pokepast.es/dc394c18a60f1160

:SV/Wishiwashi-School:
Wishiwashi-School @ Choice Band
Ability: Sword of Ruin
Tera Type: Ghost
EVs: 252 HP / 252 Atk / 252 Def / 252 SpA / 252 SpD
Brave Nature
IVs: 0 Spe
- Metronome

:SV/Baxcalibur:
Baxcalibur @ Choice Band
Ability: Power Spot
Tera Type: Ghost
EVs: 252 HP / 252 Atk / 252 Def / 252 SpA / 252 SpD / 252 Spe
Brave Nature
- Metronome

Baxcalibur For Top 10 In Metronome Usage! It has a very solid 145 base Attack, a solid 75 base Special Attack so it can actually deal noticeable damage with special attacks (unlike similar mons like Glastrier, Iron Hands, and even Heracross-Mega), pretty good bulk, and no 4x weaknesses (unlike similar mons like Landorus-T, Tyranitar, Dragonite, Salamence, and Garchomp) so it can team up well with dedicated Tera users.

In the meantime, Wishiwashi-School needs the bulk-increase-in-practice that a Ghost Tera provides. Yes, it's the dedicated Tera user of the team. Tera it on Turn 1 and never look back!

You haven't lived until you see just how much damage a Choice Banded, ability-boosted, Power Spot-boosted-further Wishiwashi-School can output. It can even OHKO frail mons with a single attack!

I've tended to bounce to the 1400s, below that, and back fairly consistently with this team with my main.

Shoutout to the double Pickup Mirror Herb Ting-Lu team I crashed into with my main that persuaded me to revert back to the Opportunist-legal meta team above instead of the Choice Band Intrepid Sword Wishiwashi-School + Weakness Policy Power Spot Baxcalibur team I was thinking of using in an Opportunist-banned meta.

...Yeah, I'd rather vote to ban Opportunist. It's squelched out at least 5 abilities (Intrepid Sword, Download, Defiant, Competitive, Dauntless Shield) and forced at least 1 item (Weakness Policy) onto pretty much Unaware mons only. With that being said, double Pickup Mirror Herb might end up simulating Opportunist well enough.

Gotta say, this team has been getting me high in the 1400s on the ladder, really solid as baxcalibur can still do decent damage despite wishiwashi being the main dmg dealer. Always satisfying seeing wishiwashi kill a mon in one hit, good team build
 
Metronome Battles Official Unofficial Abilities Tier List by Jeffdaboss
Unfortunately since Smogon stopped sending me notifications from this thread I completely missed out on the Opportunist suspect
Uhhhhhhhh whoops, guess I should get that voting thread up LOL, for all 7 of us who got reqs...


Also, Fluffy is NOT banned. Do feel free to use it with Primordial Sea as you conceived. I tend to put it on mons that naturally resist Fire like Guzzlord and then pair with a more traditional partner like an Unaware user.
Ice Scales is also allowed because special attacks are generally rarer for a team to depend upon and there hasn't been any notable abuse of the ability. I could see it being theoretically great on high Defense mons such as the ones I described at the top of the page, but you miss out on using the truly definitive and universally applicable abilities. During the Fur Coat suspect I did have a good time patching up Cursola's awful Defense with Fur Coat, and one could do the same with, say Ice Scales Dondozo or Regirock. Give it a try and see if it's notably strong!
 
Last edited:
Uhhhhhhhh whoops, guess I should get that voting thread up LOL, for all 7 of us who got reqs...


Also, Fluffy is NOT banned. Do feel free to use it with Primordial Sea as you conceived. I tend to put it on mons that naturally resist Fire like Guzzlord and then pair with a more traditional partner like an Unaware user.
Ice Scales is also allowed because special attacks are generally rarer for a team to depend upon and there hasn't been any notable abuse of the ability. I could see it being theoretically great on high Defense mons such as the ones I described at the top of the page, but you miss out on using the truly definitive and universally applicable abilities. During the Fur Coat suspect I did have a good time patching up Cursola's awful Defense with Fur Coat, and one could do the same with, say Ice Scales Dondozo or Regirock. Give it a try and see if it's notably strong!
Def agree, copied this from pre fur coat/fluffy suspect and missed updating those lol
 
Yep, Choice items make a 2-turn move from Metronome fail, and have done so since gen 7 I believe.

BTW jeffdaboss , Clear Amulet synergizes nicely with Anger Shell and Simple, preventing the guaranteed or occasional stat drops respectively. Also, I can confirm that Effect Spore but especially Poison Point/Poison Touch are very annoying and a great check to the stally Ghost teams that are often seen in high ladder.
I would put Good as Gold in B tier. It makes you immune to Perish Song, Skill/Power/Guard Swap, and some other niche instances. However, it won't block Perish Song if the GAG user calls it, it blocks beneficial Aromatic Mist/Life Dew/Howl from your partner, and it prevents foes from killing themselves with Memento.
Hadron Engine is a direct upgrade to Electric Surge, which you did mention is great for pairing with Galvanize users (I used a Galvanize Iron Hands and Hadron Engine M-Amph during the suspect; very fun).
Heavy Metal isn't a pure downgrade; it boosts Heat Crash and Heavy Slam.
I did see Illusion once, and it duplicates your lead mon. Nothing special besides the meme factor.
 
Yep, Choice items make a 2-turn move from Metronome fail, and have done so since gen 7 I believe.

BTW jeffdaboss , Clear Amulet synergizes nicely with Anger Shell and Simple, preventing the guaranteed or occasional stat drops respectively. Also, I can confirm that Effect Spore but especially Poison Point/Poison Touch are very annoying and a great check to the stally Ghost teams that are often seen in high ladder.
I would put Good as Gold in B tier. It makes you immune to Perish Song, Skill/Power/Guard Swap, and some other niche instances. However, it won't block Perish Song if the GAG user calls it, it blocks beneficial Aromatic Mist/Life Dew/Howl from your partner, and it prevents foes from killing themselves with Memento.
Hadron Engine is a direct upgrade to Electric Surge, which you did mention is great for pairing with Galvanize users (I used a Galvanize Iron Hands and Hadron Engine M-Amph during the suspect; very fun).
Heavy Metal isn't a pure downgrade; it boosts Heat Crash and Heavy Slam.
I did see Illusion once, and it duplicates your lead mon. Nothing special besides the meme factor.
Clear amulet isn’t supposed to block the drops from Anger Shell, and I believe this bug has already been fixed. I think Good as Gold deserves to be in the same tier as Magic Bounce if not the tier below it if only because in a matchup between them, Good as Gold should have the advantage. Good as Gold also doesn’t reflect moves like Leer into Defiant, nor does it bounce Heal Pulse. Illusion does actually have a function; Imposter can’t copy an Illusory Pokémon so against double Imposter it’s practically a 2v1. For that reason, it can be beneficial for single-Imposter teams to put their Imposter in the first slot since it can never be in front of an Illusion that way. Of course, your opponents can take advantage of this in their team building so it’s not like, a hard and fast rule or anything.
 
Back
Top